Вычислить интеграл, выделив целую часть дроби (применяя деление «уголком» многочлена на многочлен) и разложив интеграл на сумму более простых интегралов.
Приложения:

Ответы
Ответ дал:
0
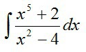
_ x⁵ + 2 | x²-4
x⁵- 4x³ x³+4x
---------
_ 4x³+2
4x³-16x
---------
16x +2
(x⁵+2)/(x²-4)=x³+4x + (16x+2/(x²-4))

x⁵- 4x³ x³+4x
---------
_ 4x³+2
4x³-16x
---------
16x +2
(x⁵+2)/(x²-4)=x³+4x + (16x+2/(x²-4))
Вас заинтересует
2 года назад
2 года назад
7 лет назад
7 лет назад
9 лет назад
9 лет назад
10 лет назад
10 лет назад