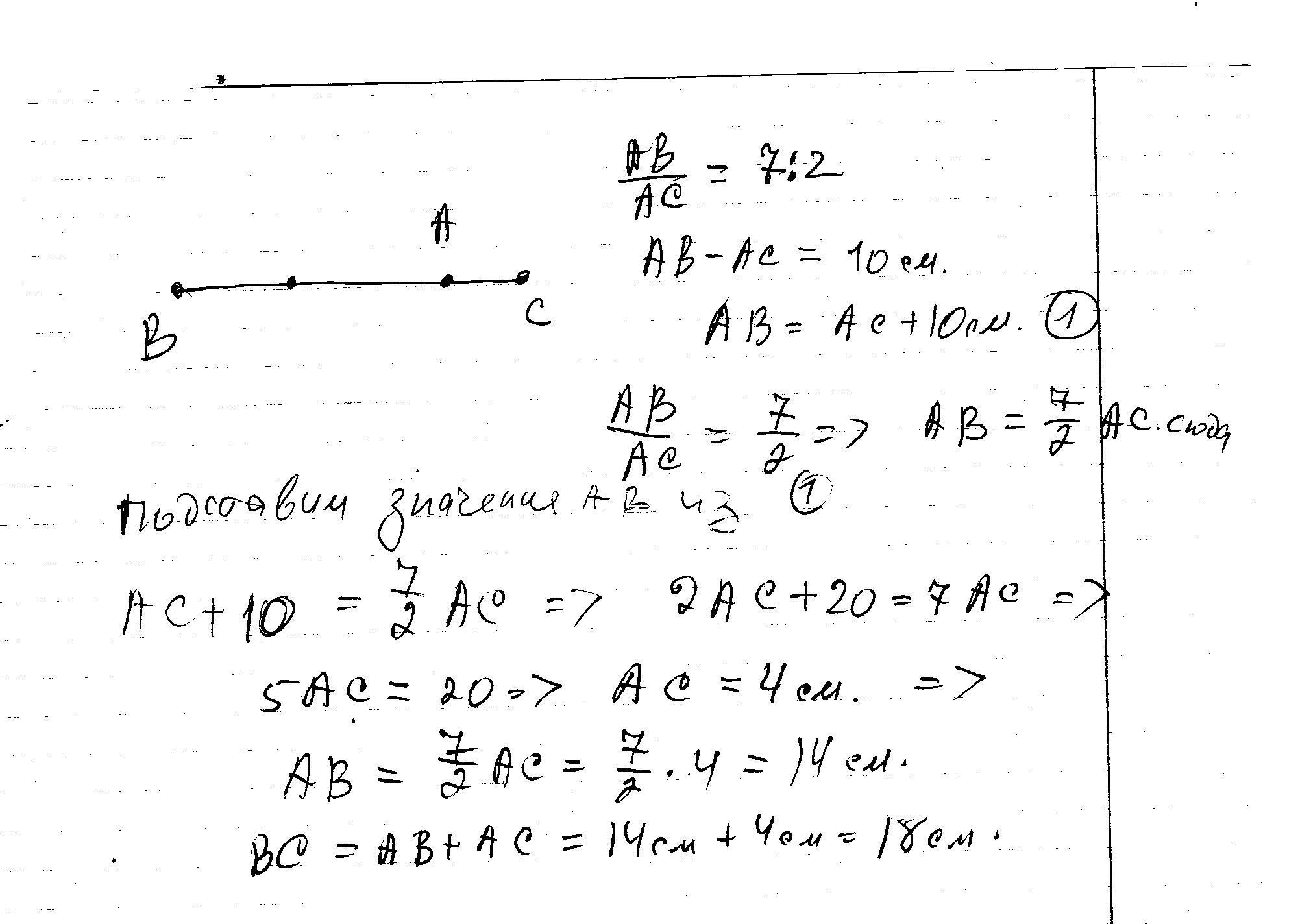
Точка А лежит на прямой ВС между точками В и С. Найдите длину отрезка ВС, если АВ: АС=7:2 и АВ-АС=10см.(со всеми вычислениями пожалуйста+если есть возможность решения с фото)
Ответы
Ответ дал:
0
7x-2x=10
5x=10
x=2
7x=14
2x=4
14+4=18
5x=10
x=2
7x=14
2x=4
14+4=18
Ответ дал:
0
спасибо огромное)))
Ответ дал:
0
решение в скане...........
Приложения:

Вас заинтересует
2 года назад
7 лет назад
7 лет назад
9 лет назад
9 лет назад
10 лет назад