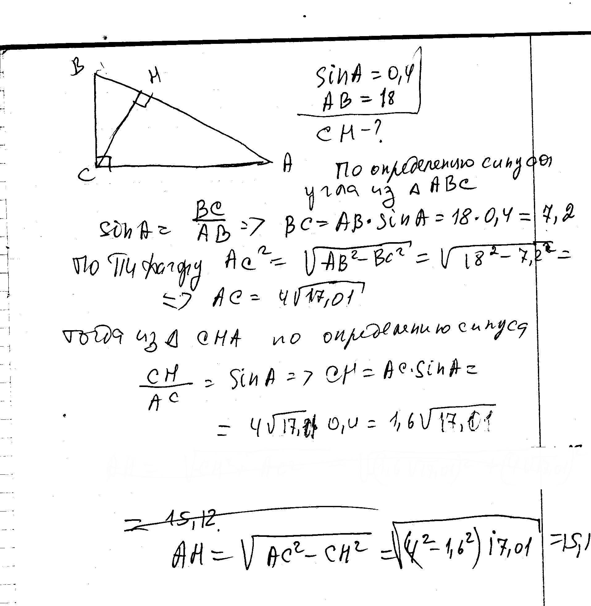
В прямоугольном треугольнике АВС с прямым углом С проведена высота СН.
Известно, что синус угла А=0.4, АВ=18.Найдите длину отрезка АН.
Ответы
Ответ дал:
0
странная задача, или я опять напутал.
Приложения:

Ответ дал:
0
!!!!!!!!!!!!!!!!!!!!!!!!!!
Приложения:

Вас заинтересует
2 года назад
2 года назад
7 лет назад
7 лет назад
9 лет назад
10 лет назад