Ответы
Ответ дал:
0
3,8815856 × 10^38 вот ответ
Ответ дал:
0
И как ты это решила?
Ответ дал:
0
Да никак не решал(а). Потому что в таком виде, как у вас написано, ответ 4070137469341988055666005
Ответ дал:
0
но скорее всего, написано неверно, потому что после упрощения надо вычислять 11^22
Ответ дал:
0
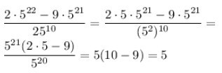
Для тех, у кого мобильное приложение, решение продублировано во вложении.
Приложения:

Вас заинтересует
2 года назад
7 лет назад
7 лет назад
9 лет назад
10 лет назад
10 лет назад