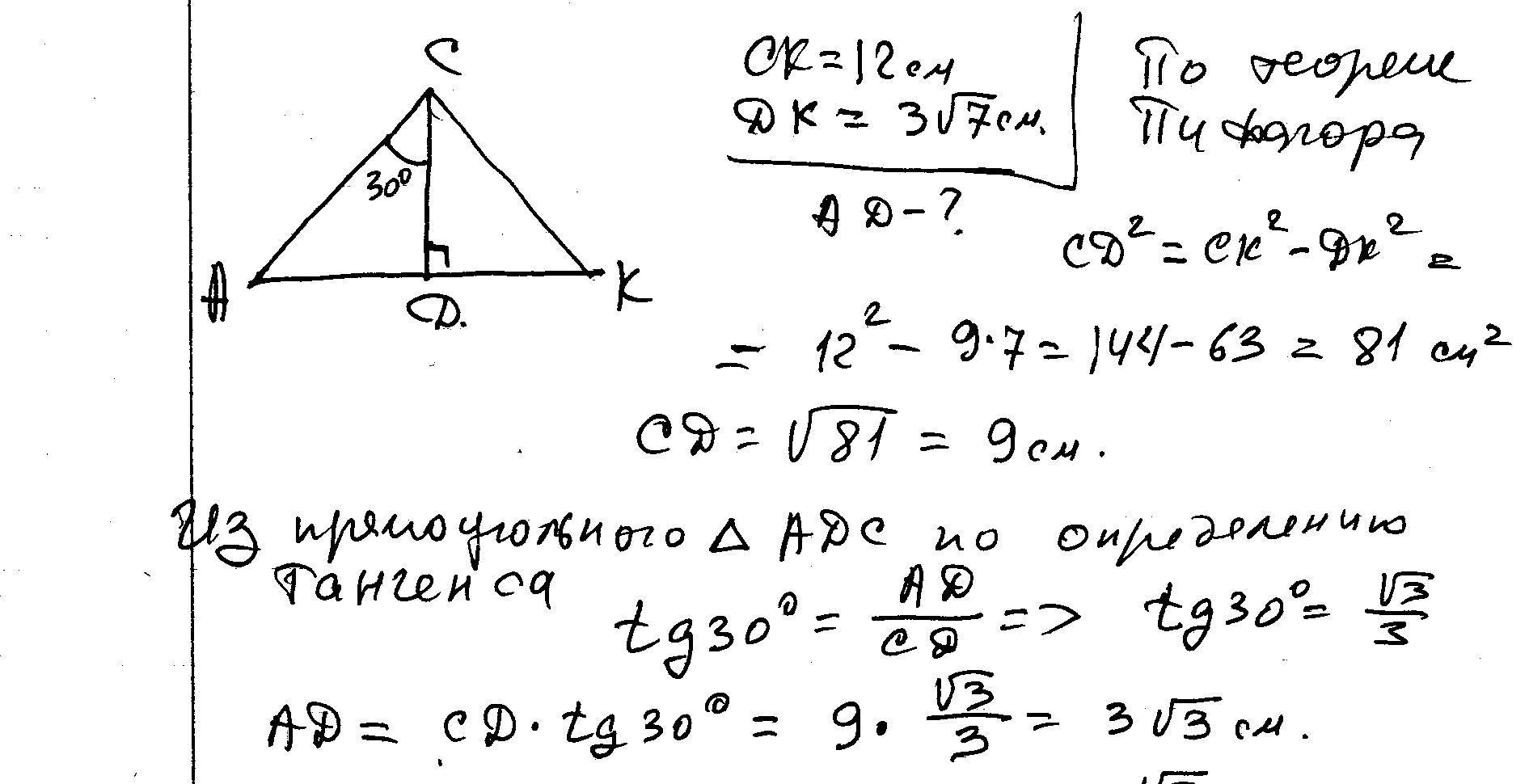
13) Вiдрiзок CD - висота трикутника АСК,зображеного на рисунку , СК=12см , DK=3√7см. Знайдiть довжину вiдрiзка AD.
Приложения:

Ответы
Ответ дал:
0
решение в скане............
Приложения:

Вас заинтересует
2 года назад
7 лет назад
9 лет назад
9 лет назад
10 лет назад
10 лет назад