• Предмет: Алгебра
  • Автор: MrStupido
  • Вопрос задан 10 лет назад

Нужна помощь в решении. Никак не могу найти верный ответ. (-3)

Приложения:

Ответы

Ответ дал: gfirsov0071
0
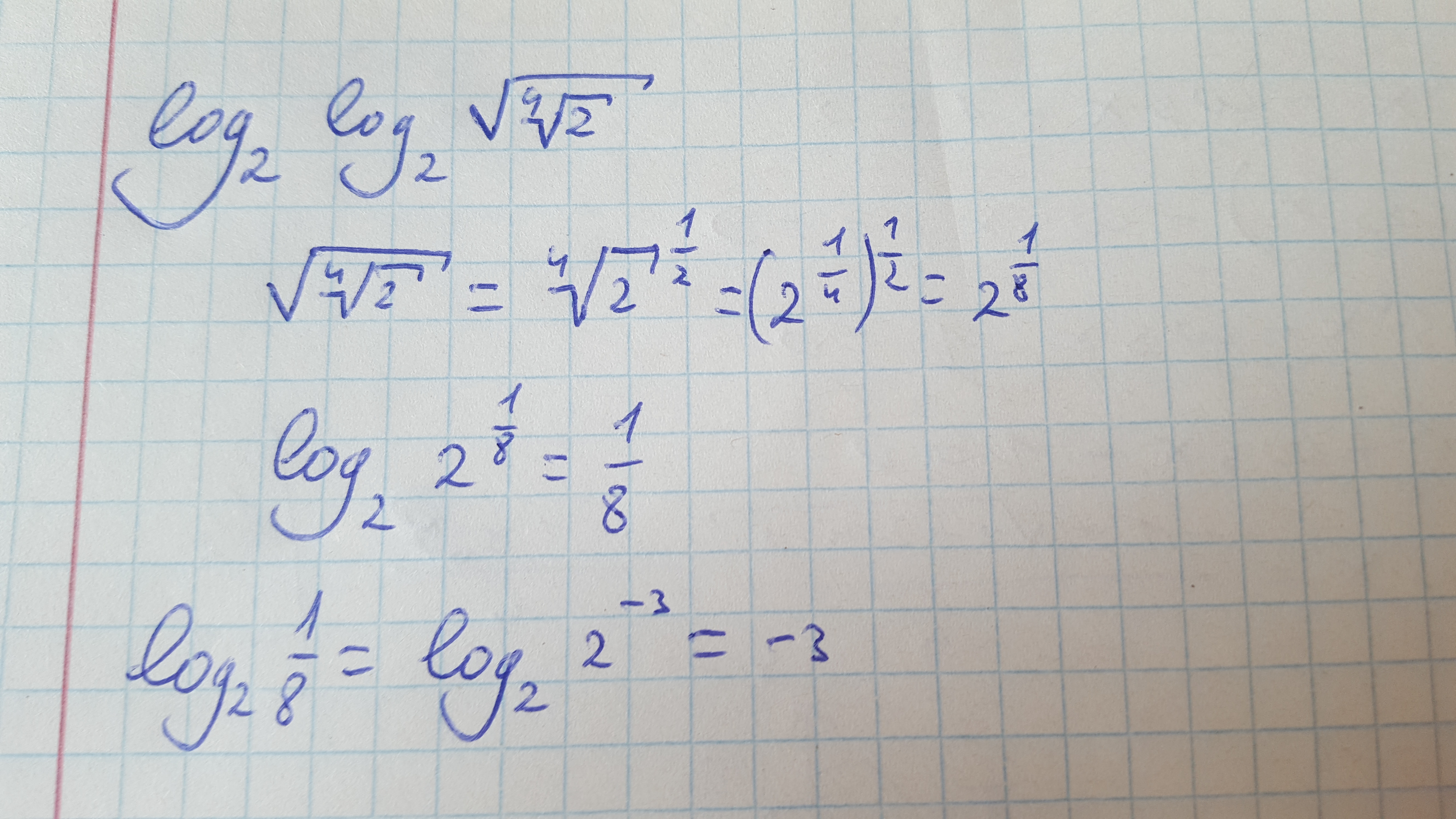
Я сделал по действиям. Сначала преобразовал выражение с корнями, заьем вычислил внутренний логарифм, а затем и внешний.
(Хотя можно было это всё писать одной строкой)
Приложения:
Ответ дал: Аноним
0
Для владельцев мобильного приложения решение дано во вложении.

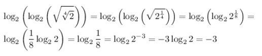
displaystyle log_2left(log_2left( sqrt{ sqrt[4]{2} }right)right) =log_2left(log_2left(sqrt{2^ frac{1}{4}}right)right) =log_2left(log_2 2^ frac{1}{8} right) = \ log_2left(frac{1}{8} log_2 2right) =log_2  frac{1}{8}=log_22^{-3}=-3log_22=-3
Приложения:
Ответ дал: MrStupido
0
Не знал что есть приложение...
Ответ дал: Аноним
0
Есть, но паршивое...
Вас заинтересует