Ответы
Ответ дал:
0
Первое неравенство.
Раскладываем на множители левую часть:
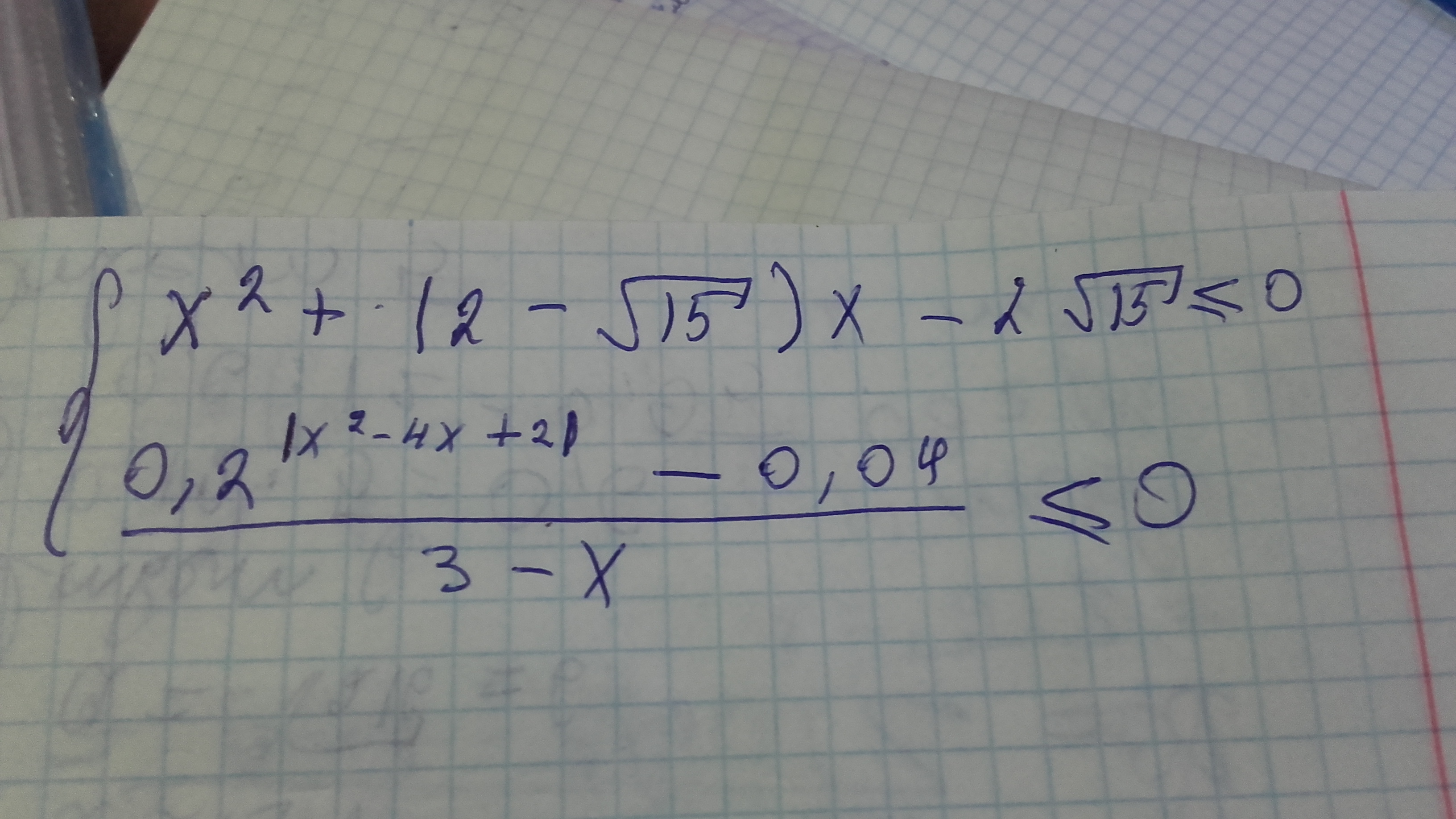
х² + (2 - √15)х - 2√15 ≤0;
х² + 2х - √15·х - 2√15≤0;
х(х+2)-√15(х+2)≤0;
(х+2)(х-√15) ≤ 0
__+___[-2]___-____[√15]___+__
x∈[-2;√15]
==================
Второе неравенство равносильно совокупности двух систем
1) 0,2|ˣ²⁻⁴ˣ⁺²|≤0,04
3-х >0
или
2) 0,2|ˣ²⁻⁴ˣ⁺²| ≥0,04
3-х < 0
Учитывая, что основание показательной функции 0 < 0,2 <1
Это означает, что функция убывает
1) |x² -4x+2|≥2
3-x>0
2) |x²-4x+2| ≤2
3-x <0
или
Система 1) равносильна совокупности двух систем:
х²-4х+2 ≤-2 или х²-4х+2≥2
3-х>0 3-x>0
х²-4х+4 ≤0 или х²-4х≥0
3-х>0 3-x>0
x=2 x∈(-∞;0]U[4;+∞)
x<3 x < 3
Ответ. х=2 U(-∞;0]
Система 2) равносильна системе:
-2≤х² -4х +2 ≤2
3-х <0
x²-4x+4 ≥0
x²-4x ≤0
x > 3
Ответ. (3;4]
Объединяем ответы всех трех систем, получаем ответ второго неравенства.
х∈(-∞;0]U{2}U(3;4]
Находим пересечение множеств решений первого неравенства
x∈[-2;√15] и второго х∈(-∞;0]U{2}U(3;4]
О т в е т. [-2;0]U{2}U(3;√15].
Раскладываем на множители левую часть:
х² + (2 - √15)х - 2√15 ≤0;
х² + 2х - √15·х - 2√15≤0;
х(х+2)-√15(х+2)≤0;
(х+2)(х-√15) ≤ 0
__+___[-2]___-____[√15]___+__
x∈[-2;√15]
==================
Второе неравенство равносильно совокупности двух систем
1) 0,2|ˣ²⁻⁴ˣ⁺²|≤0,04
3-х >0
или
2) 0,2|ˣ²⁻⁴ˣ⁺²| ≥0,04
3-х < 0
Учитывая, что основание показательной функции 0 < 0,2 <1
Это означает, что функция убывает
1) |x² -4x+2|≥2
3-x>0
2) |x²-4x+2| ≤2
3-x <0
или
Система 1) равносильна совокупности двух систем:
х²-4х+2 ≤-2 или х²-4х+2≥2
3-х>0 3-x>0
х²-4х+4 ≤0 или х²-4х≥0
3-х>0 3-x>0
x=2 x∈(-∞;0]U[4;+∞)
x<3 x < 3
Ответ. х=2 U(-∞;0]
Система 2) равносильна системе:
-2≤х² -4х +2 ≤2
3-х <0
x²-4x+4 ≥0
x²-4x ≤0
x > 3
Ответ. (3;4]
Объединяем ответы всех трех систем, получаем ответ второго неравенства.
х∈(-∞;0]U{2}U(3;4]
Находим пересечение множеств решений первого неравенства
x∈[-2;√15] и второго х∈(-∞;0]U{2}U(3;4]
О т в е т. [-2;0]U{2}U(3;√15].
Вас заинтересует
3 года назад
3 года назад
8 лет назад
8 лет назад
10 лет назад