Ответы
Ответ дал:
0
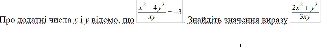
(x²-4y)/xy=(x²/xy)-(4y/xy)=(x/y)-4(y/x).
По условию
(x/y)-4(y/x)=-3
Замена переменной
(х/у)=t; (y/x)=(1/t)
t - (4/t)=-3
t²+3t-4=0
t≠0
t=-4 или t=1
Так как х и у - положительные, то условию задачи удовлетворяет значение t=1.
Если (х/у)=1, то х=у и (2х²+у²)/(3ху)=(2·у²+у²)/(3·у·у)=1
О т в е т. 1.
По условию
(x/y)-4(y/x)=-3
Замена переменной
(х/у)=t; (y/x)=(1/t)
t - (4/t)=-3
t²+3t-4=0
t≠0
t=-4 или t=1
Так как х и у - положительные, то условию задачи удовлетворяет значение t=1.
Если (х/у)=1, то х=у и (2х²+у²)/(3ху)=(2·у²+у²)/(3·у·у)=1
О т в е т. 1.
Вас заинтересует
3 года назад
3 года назад
8 лет назад
8 лет назад
10 лет назад
10 лет назад
10 лет назад
10 лет назад