Ответы
Ответ дал:
0
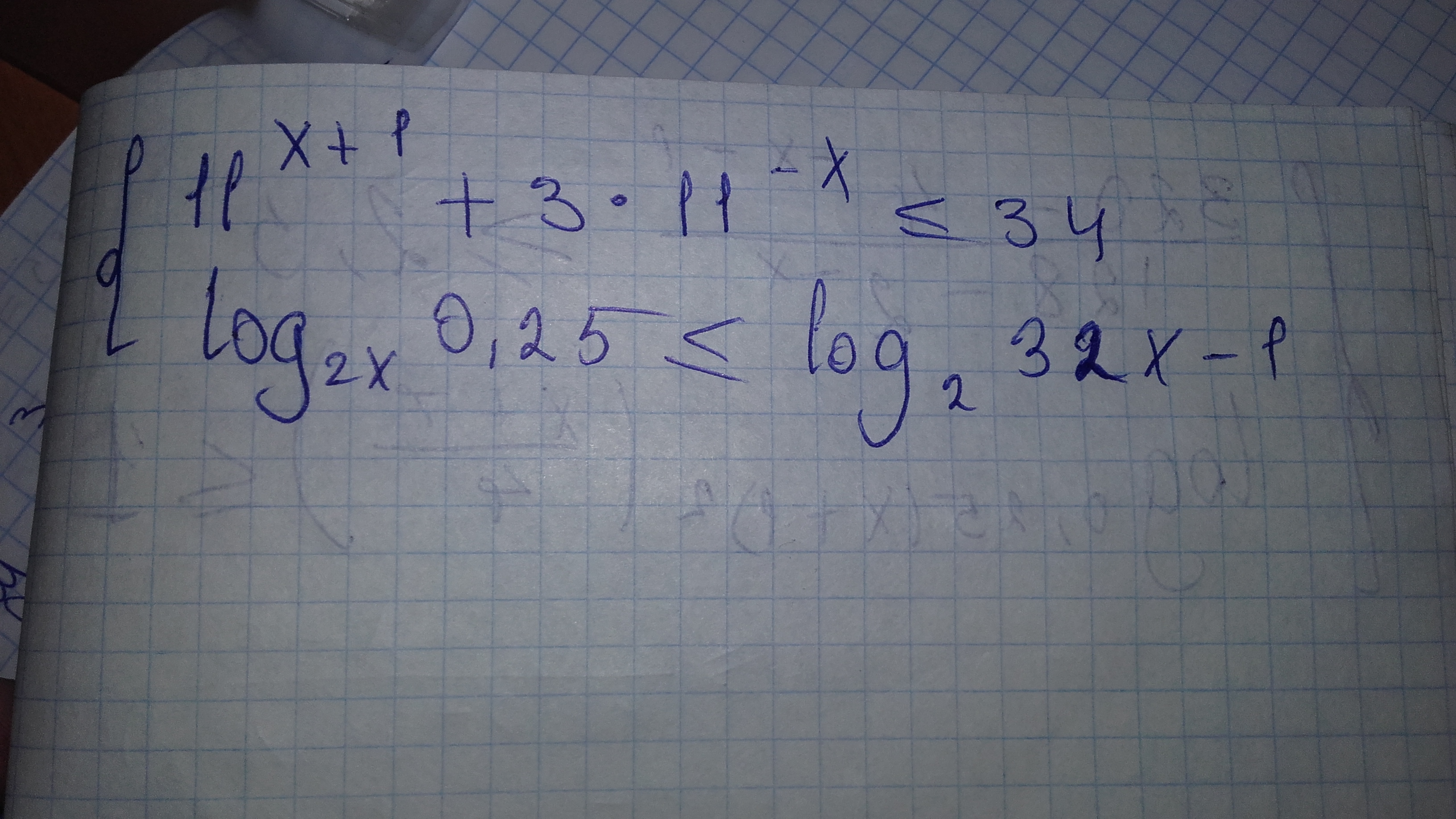
Первое неравенство.
Замена переменной: 11ˣ=t; t>0.
11t +(3/t)-34≤0;
11t²-34t+3≤0
D=(-34)²-4·11·3=1156-132=1024=32²
t=1/11 или t=3
1/11 ≤ 11ˣ ≤ 3;
-1 ≤ x ≤ log₁₁3
x∈[-1; log₁₁3].
Второе неравенство.
Переходим к основанию2:
log₂0,25/(log₂2+log₂x)≤log₂32 + log₂x -1.
Замена переменной:
log₂x=z
-2/(1+z)≤4+z;
(-z²-5z-6)/(z+1)≤0;
(z²+5z+6)/(z+1)≥0;
____[-3]_____[-2]_____(-1)____
-3≤z≤-2 или z≥-1
-3≤log₂x≤-2 или log₂x≥-1
1/8≤х≤1/4 или х ≥1/2
Находим пересечение ответов двух неравенств, получаем о т в е т:
[1/8;1/4]U[1/2; log₁₁3].
Замена переменной: 11ˣ=t; t>0.
11t +(3/t)-34≤0;
11t²-34t+3≤0
D=(-34)²-4·11·3=1156-132=1024=32²
t=1/11 или t=3
1/11 ≤ 11ˣ ≤ 3;
-1 ≤ x ≤ log₁₁3
x∈[-1; log₁₁3].
Второе неравенство.
Переходим к основанию2:
log₂0,25/(log₂2+log₂x)≤log₂32 + log₂x -1.
Замена переменной:
log₂x=z
-2/(1+z)≤4+z;
(-z²-5z-6)/(z+1)≤0;
(z²+5z+6)/(z+1)≥0;
____[-3]_____[-2]_____(-1)____
-3≤z≤-2 или z≥-1
-3≤log₂x≤-2 или log₂x≥-1
1/8≤х≤1/4 или х ≥1/2
Находим пересечение ответов двух неравенств, получаем о т в е т:
[1/8;1/4]U[1/2; log₁₁3].
Вас заинтересует
3 года назад
8 лет назад
8 лет назад
10 лет назад
10 лет назад