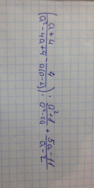
Нужно упростить до числового выражения, желательно что бы вы написала все решение
Заранее спасибо)
Приложения:
Ответы
Ответ дал:
0
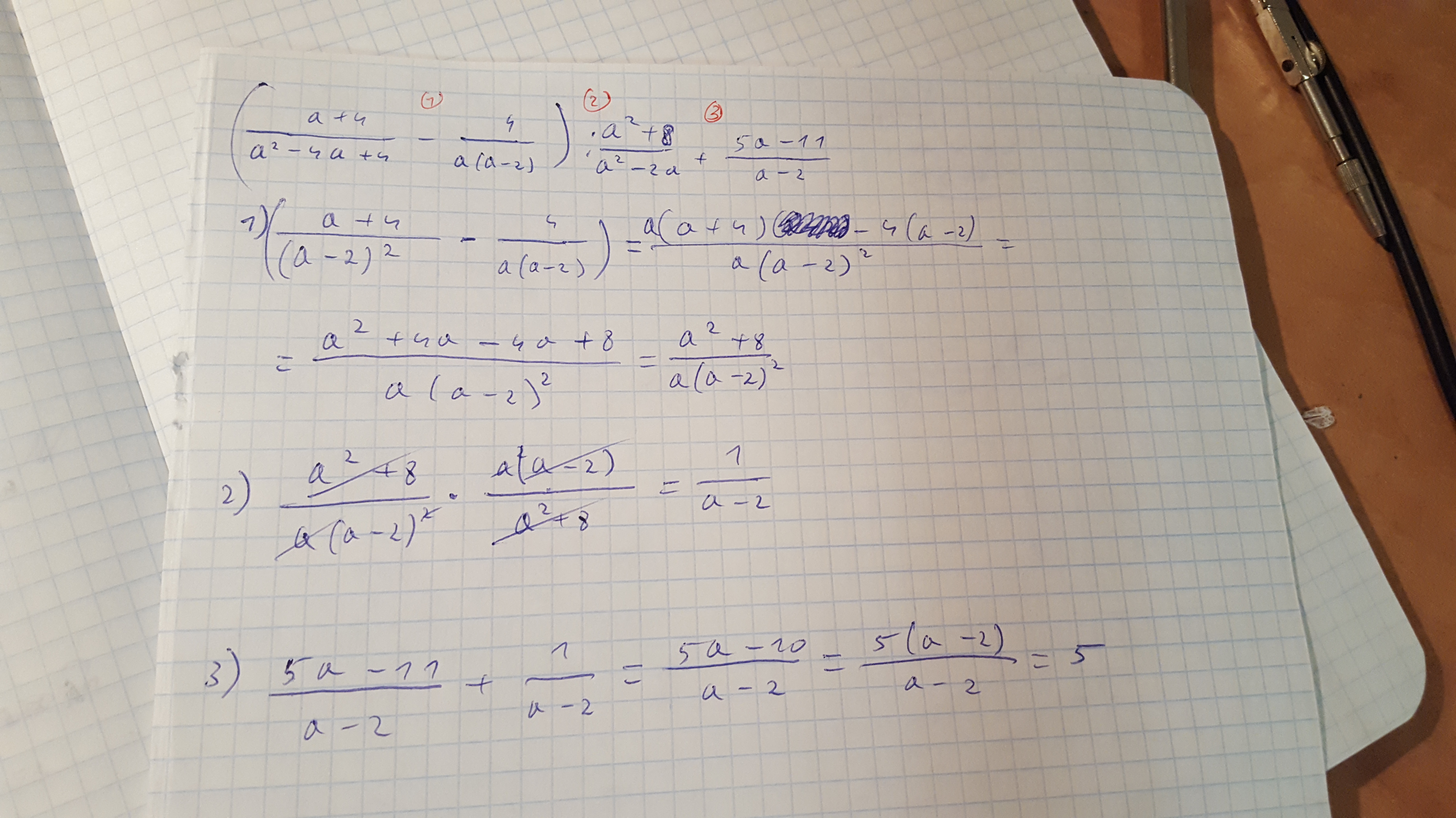
1)

2)

3)

2)
3)
Ответ дал:
0
На фото решение.
Ответ: 5
Ответ: 5
Приложения:
Ответ дал:
0
Спасибо большое)
Вас заинтересует
3 года назад
8 лет назад
10 лет назад
10 лет назад
10 лет назад