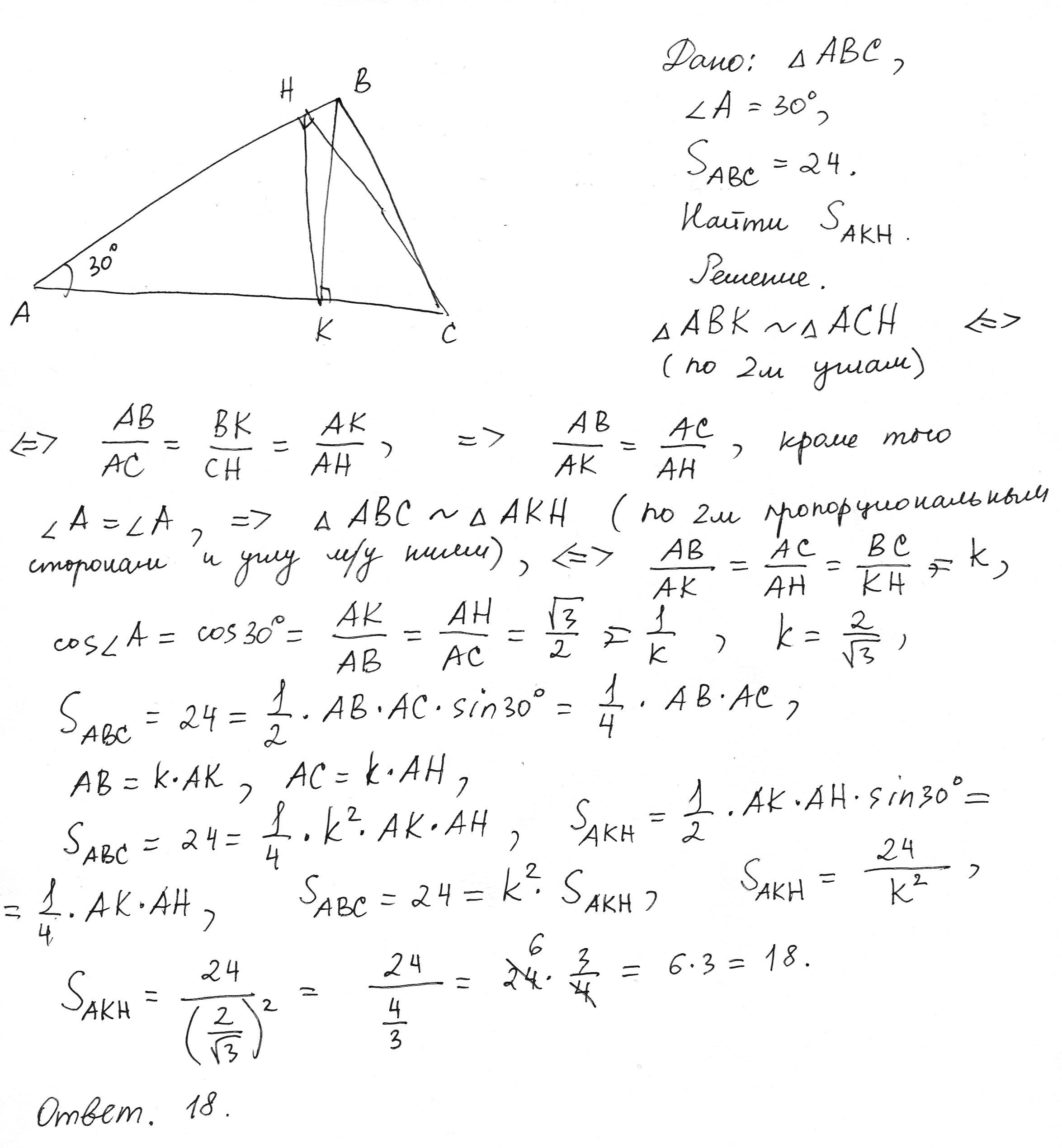
В треугольнике АВС с углом ( А = 30( проведены высоты ВК и СН. Найти площадь треугольника АКН, если площадь треугольника АВС равна 24.
Ответы
Ответ дал:
0
=============================================>>>>
Приложения:

Вас заинтересует
2 года назад
2 года назад
7 лет назад
7 лет назад
9 лет назад
9 лет назад
10 лет назад