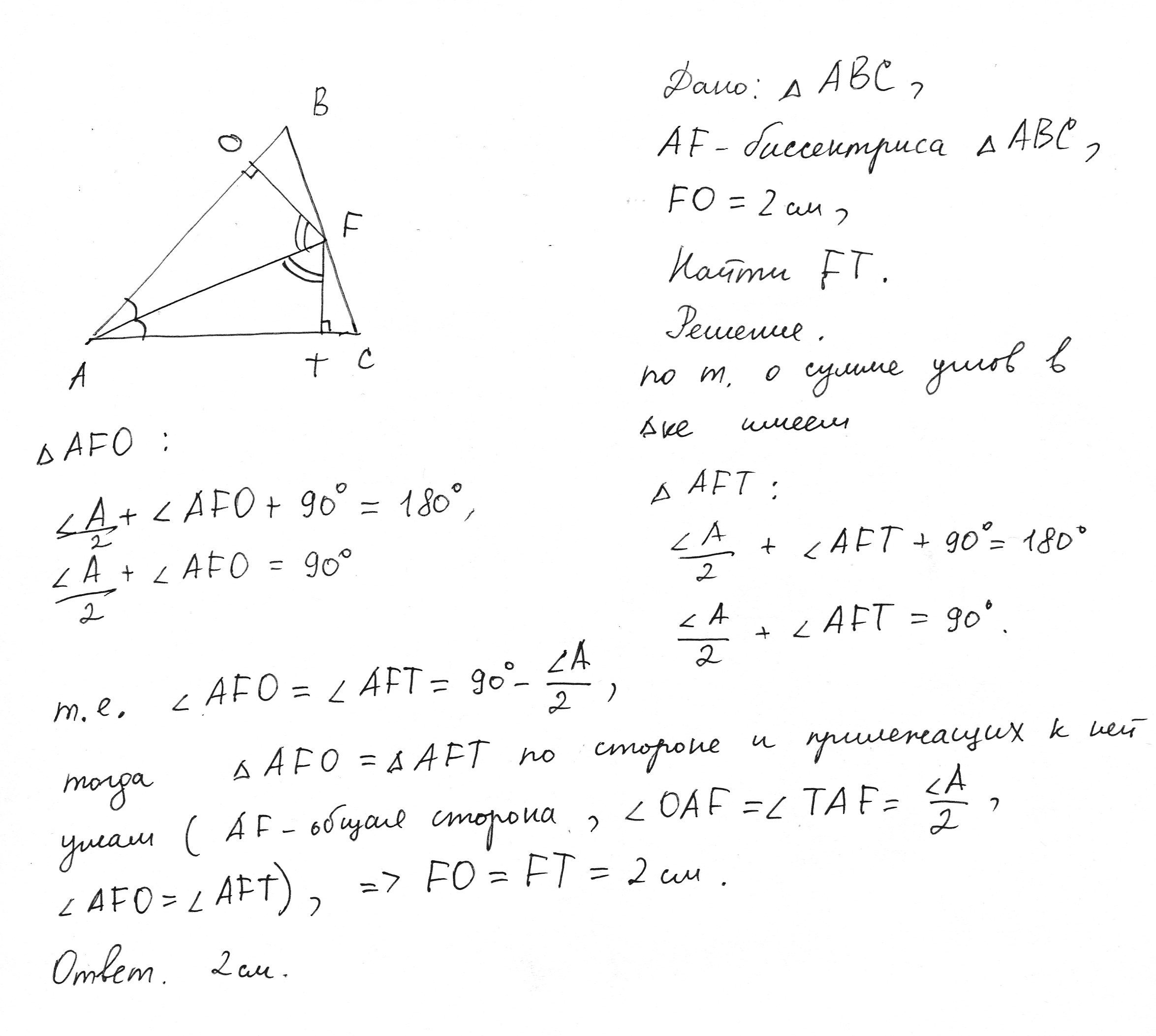
Отрезок AF биссектриса треугольника ABC,высота FO треугольника ABF равна 2см.Чему равна высота FT треугольника AFC??
Ответы
Ответ дал:
0
=====================+++>>>>>
Приложения:

Ответ дал:
0
Спасмбо юольшое
Ответ дал:
0
Большое
Вас заинтересует
2 года назад
7 лет назад
7 лет назад
9 лет назад
9 лет назад
10 лет назад