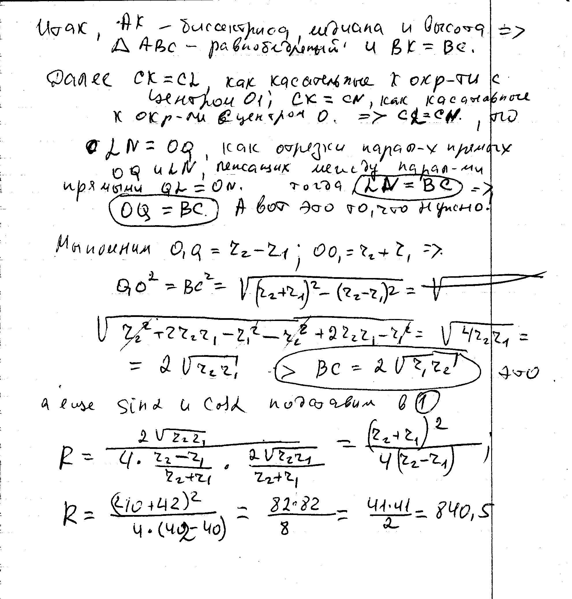
Две касающиеся внешним образом в точке К окружности, радиусы которых равны 40 и 42, касаются сторон угла с вершиной А. Общая касательная к этим окружностям, проходящая через точку К, пересекает стороны угла в точках В и С. Найдите радиус окружности, описанной около треугольника АВС.
Решите, и всё по полочкам пожалуйста:)))
Ответы
Ответ дал:
0
Я уверен, что приложил достаточно усилий, потому заберу и эти баллы. Да и задачка не будет торчать в нерешенных.
Приложения:


Вас заинтересует
9 лет назад
9 лет назад
10 лет назад