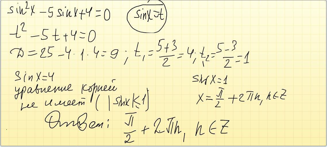
Решите уравнение sin2 x– 5sinx+4=0*
Дроби запишите в виде x/y, где х – числитель, у – знаменатель.
Ответы
Ответ дал:
0
решение данного уравнения
(сначала выполним замену, получаем квадратное уравнение)..
(сначала выполним замену, получаем квадратное уравнение)..
Приложения:

Вас заинтересует
2 года назад
2 года назад
7 лет назад
7 лет назад
9 лет назад
9 лет назад
10 лет назад
10 лет назад