Ответы
Ответ дал:
0
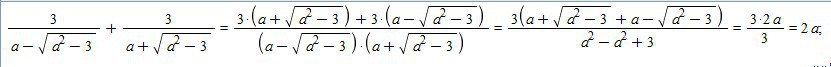
√(a²-3)=b
3/a-b + 3/a+b=
Приводим к НОЗ и раскрываем скобки => (a-b)(a+b)=a²-b²
3(a+b)+3(a-b)/(a-b)(a+b)=
=3a+3b+3a-3b/a²-b²=
=6a/a²-b²=
=6a/a²-(√a²-3)²=
=6a/a²-(a²-3)=
=6a/a²-a²+3=
=6a/3=
=2a
Ответ: 2a (C).
3/a-b + 3/a+b=
Приводим к НОЗ и раскрываем скобки => (a-b)(a+b)=a²-b²
3(a+b)+3(a-b)/(a-b)(a+b)=
=3a+3b+3a-3b/a²-b²=
=6a/a²-b²=
=6a/a²-(√a²-3)²=
=6a/a²-(a²-3)=
=6a/a²-a²+3=
=6a/3=
=2a
Ответ: 2a (C).
Ответ дал:
0
Решение во вложении. Ответ: С) 2а
Приложения:
Вас заинтересует
2 года назад
2 года назад
7 лет назад
10 лет назад
10 лет назад
10 лет назад