• Предмет: Математика
  • Автор: Аноним
  • Вопрос задан 10 лет назад

Ребят,помогите пожалуйста решить 5-ое задание Упростить выражение.Срочно надо.

Приложения:

Ответы

Ответ дал: leeunknown
0
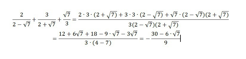
приводим все к общему знаменателю в знаменателе используем форму разности квадратов. 
Приложения:
Ответ дал: Аноним
0
спасибо огромное:)
Ответ дал: leeunknown
0
пожалуйста)
Ответ дал: Аноним
0
( 2/( 2 - V7 ) ) + ( 3 / ( 2 + V 7 )) + ( V 7 / 3 ) = ( 2•3•( 2 + V7 ) + 3•3•( 2 - V 7 ) + V7•( 4 - 7 ) / ( 3•( 4 - 7 )) = ( 12 + 6V7 + 18 - 9V7 - 3V7 ) / ( - 9 ) = ( 30 - 6V7 ) / ( - 9 ) = ( 3•( 10 - 2V7 ) ( 3•( -3 )) = ( 10 - 2V7 ) /( -3 ) = - 3 1/3 + 2/3V7
Приложения:
Вас заинтересует