• Предмет: Математика
  • Автор: ksus96
  • Вопрос задан 10 лет назад

Помогите, пожалуйста! Все три номера

Приложения:

Ответы

Ответ дал: ужнеужели
0
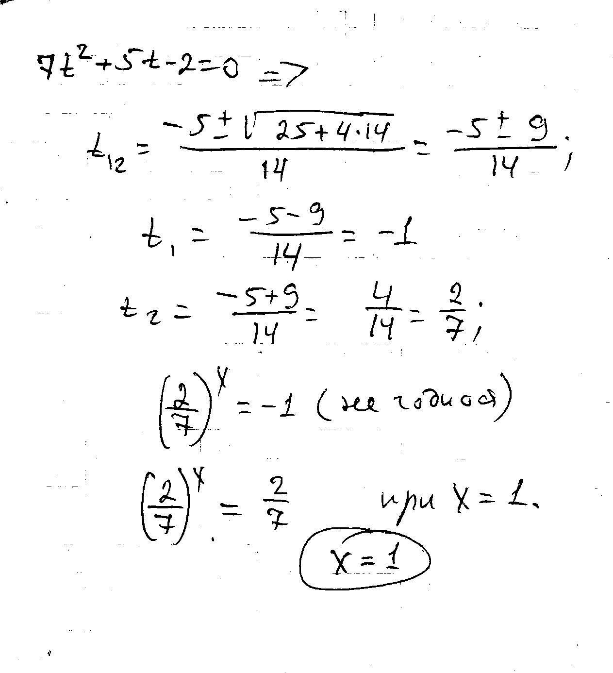
решение в скане.............
Приложения:
Вас заинтересует