Ответы
Ответ дал:
0
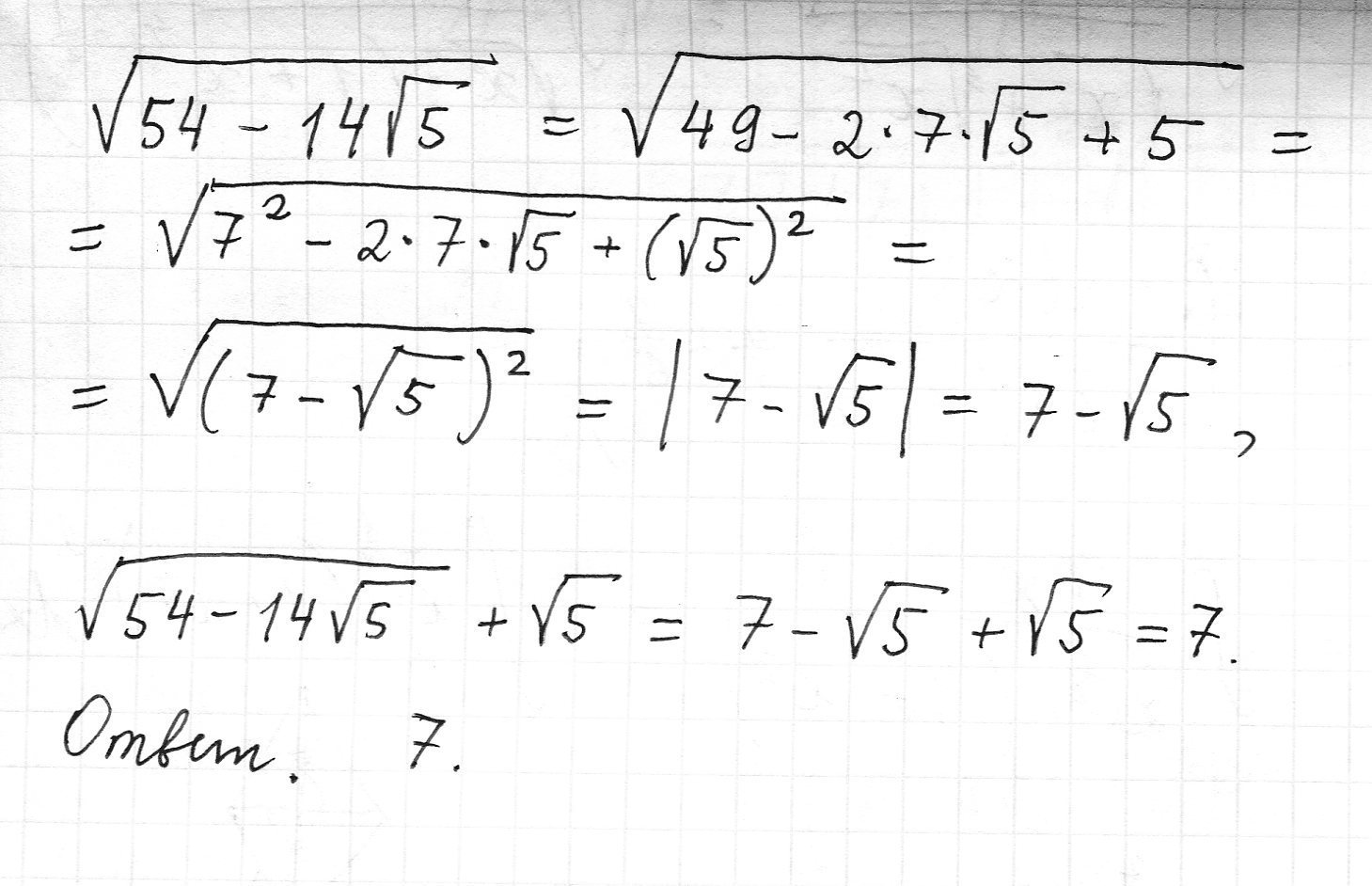
я написал на прикрепленном листочке. прикрепил теперь
Приложения:

Ответ дал:
0
спасибо
Вас заинтересует
7 лет назад
7 лет назад
9 лет назад
10 лет назад