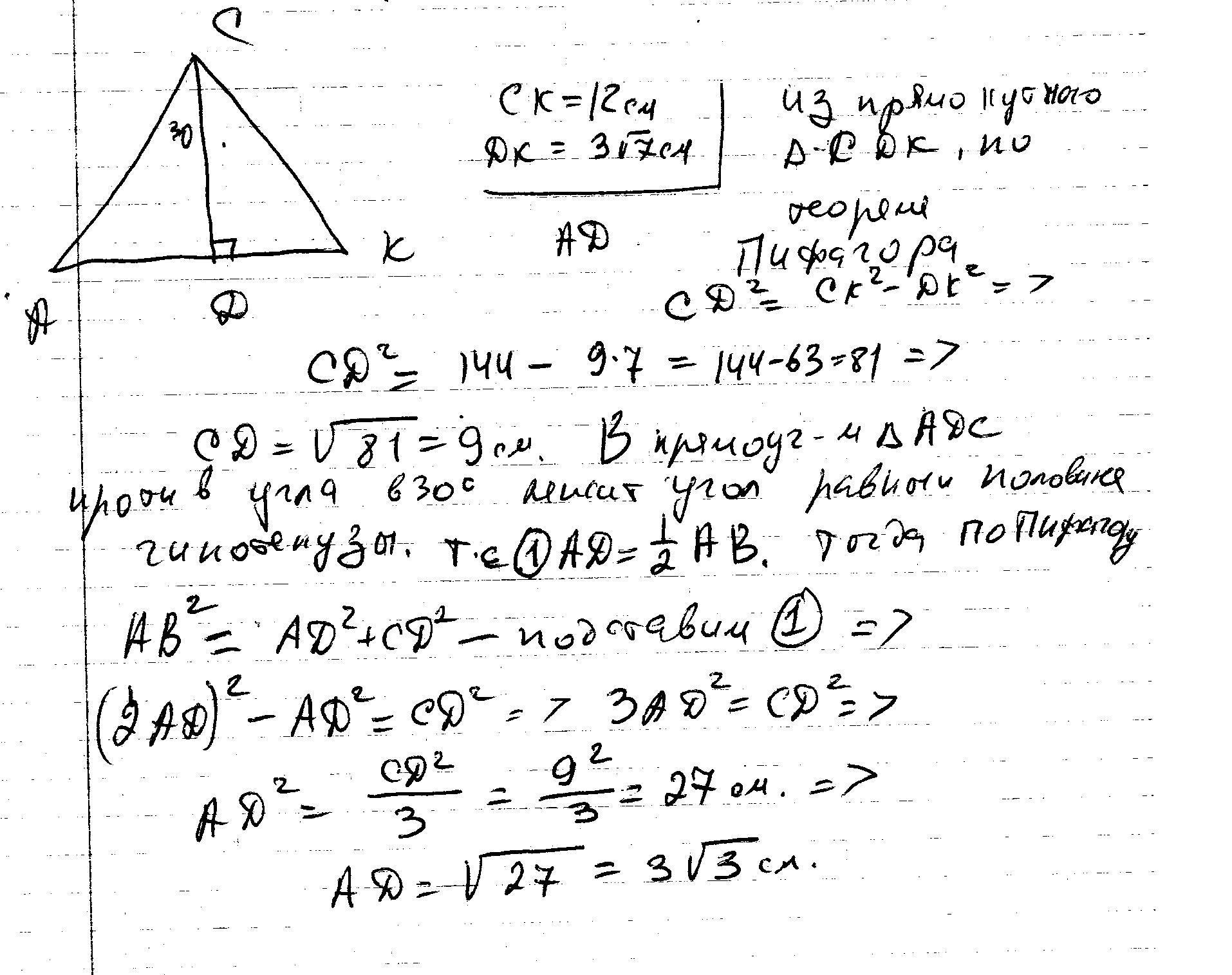
Вiдрiзок СD - висота трикутника АСК,зображеного на рисунку,СК-12см, DK-3√7см.Знайдiть довжину вiдрiзка АD. Решение полностью.
Приложения:
Ответы
Ответ дал:
0
решение в скане........
Приложения:
Вас заинтересует
3 года назад
3 года назад
8 лет назад
10 лет назад
10 лет назад
10 лет назад
10 лет назад