• Предмет: Математика
  • Автор: kapitanovaak
  • Вопрос задан 10 лет назад

Помогите с решением задачи (фото)

Приложения:

Ответы

Ответ дал: bearcab
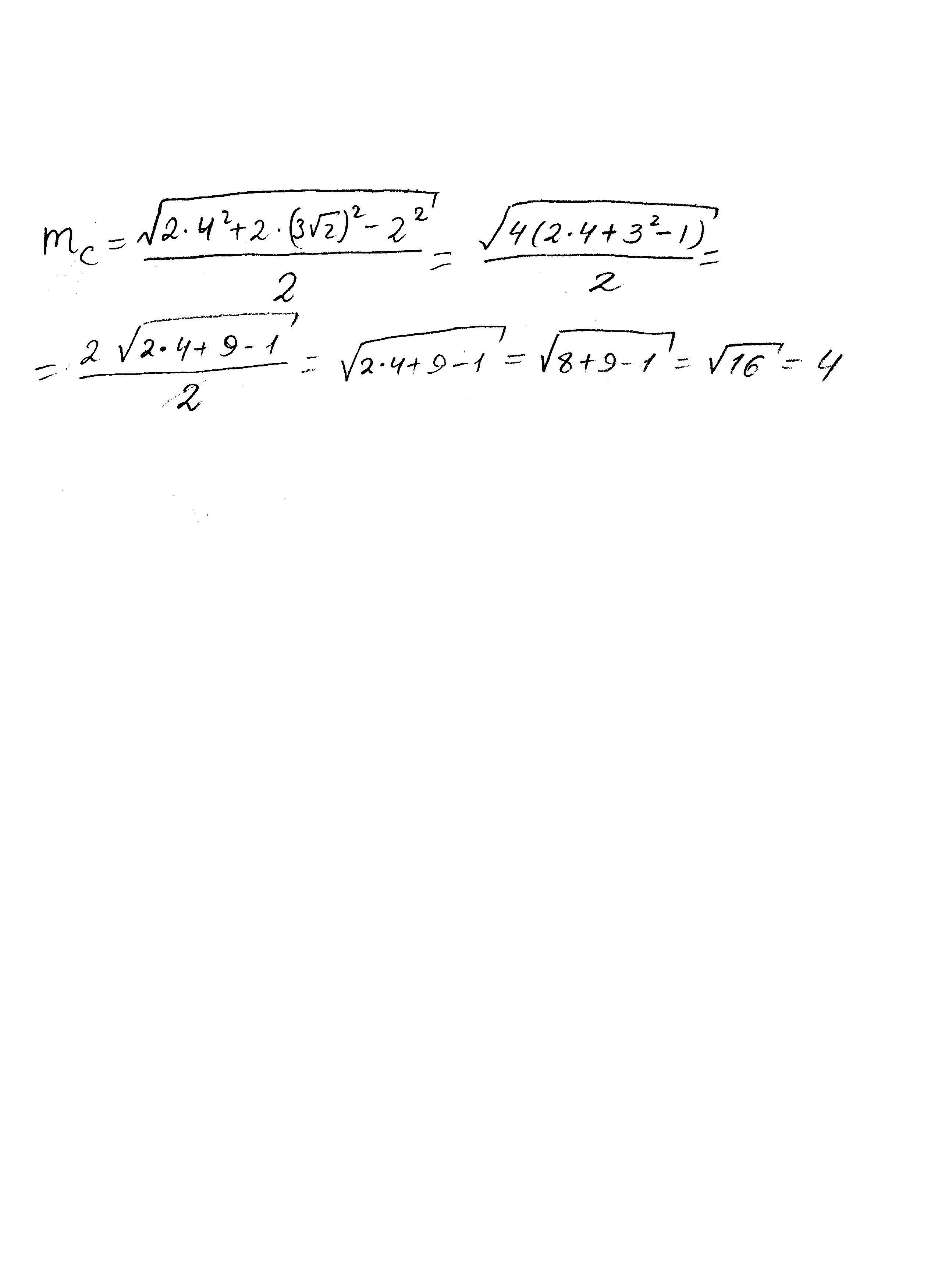
0
решение в приложении. 

Ответ: 4. 

Приложения:
Вас заинтересует