• Предмет: Математика
  • Автор: sola15
  • Вопрос задан 10 лет назад

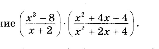
помогите пожалуйста решить

Приложения:

Ответы

Ответ дал: гюйс
0
....= ( frac{(x-2)( x^{2}-2x+4)}{x+2}) ( frac{(x+2)(x+2)}{ x^{2} +2x+4})=  frac{(x+2)(x-2)( x^{2} -2x+4)}{ x^{2} +2x+4} =frac{(x+2)( x^{3}-8) }{ x^{2} +2x+4}
Вас заинтересует