Ответы
Ответ дал:
0
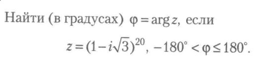
Представляем число (1-i√3)в тригонометрической форме:
|1-i√3|=√(1²+(-√3)²)=√(1+3)=√4=2
cosω=1/2
sinω=-√3/2
ω = (-π/3)
применяем формулу Муавра
z=(2·cos(-π/3)+i(sin(-π/3)))²⁰=2²⁰·(cos (20·(-π/3))+isin(20·(-π/3)))
20·(-π/3)=(-20π/3)=(-6π+(-2π/3))
-π ≤ (-2π/3)≤π в радианах
-180°≤-120°≤180° в градусах
О т в е т.
= (-2π/3) или
= (-120°)
|1-i√3|=√(1²+(-√3)²)=√(1+3)=√4=2
cosω=1/2
sinω=-√3/2
ω = (-π/3)
применяем формулу Муавра
z=(2·cos(-π/3)+i(sin(-π/3)))²⁰=2²⁰·(cos (20·(-π/3))+isin(20·(-π/3)))
20·(-π/3)=(-20π/3)=(-6π+(-2π/3))
-π ≤ (-2π/3)≤π в радианах
-180°≤-120°≤180° в градусах
О т в е т.
Вас заинтересует
3 года назад
8 лет назад
10 лет назад
10 лет назад