Ответы
Ответ дал:
0
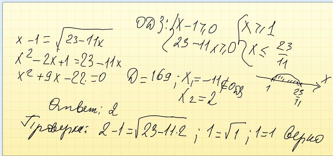
Сначала найдем ОДЗ
Подкоренное выражение должно быть неотрицательным,
кроме того учтем, что правая часть неотрицательна, значит и левая часть также должна быть неотрицательной (
0)
Подкоренное выражение должно быть неотрицательным,
кроме того учтем, что правая часть неотрицательна, значит и левая часть также должна быть неотрицательной (
Приложения:

Вас заинтересует
2 года назад
2 года назад
7 лет назад
9 лет назад
9 лет назад
10 лет назад