• Предмет: Математика
  • Автор: катя19952
  • Вопрос задан 9 лет назад

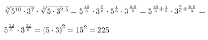
как сделать вычисление выражения

Приложения:

Ответы

Ответ дал: Аноним
0
Для мобильного приложения решение находится во вложении. Для просмотра с компьютера вложение не нужно.

displaystyle sqrt[6]{5^{10}cdot3^7}cdot sqrt[3]{5cdot3^{2.5}} = 5^  frac{10}{6} cdot 3^ frac{7}{6} cdot5^  frac{1}{3} cdot 3^frac{2.5}{3} = 5^{  frac{10}{6}+ frac{1}{3}} cdot 3^{frac{7}{6}+ frac{2.5}{3} } = \ \ 5^frac{12}{6} cdot 3^frac{12}{6} = left(5cdot3right)^2=15^2=225
Приложения:
Вас заинтересует