Ответы
Ответ дал:
0
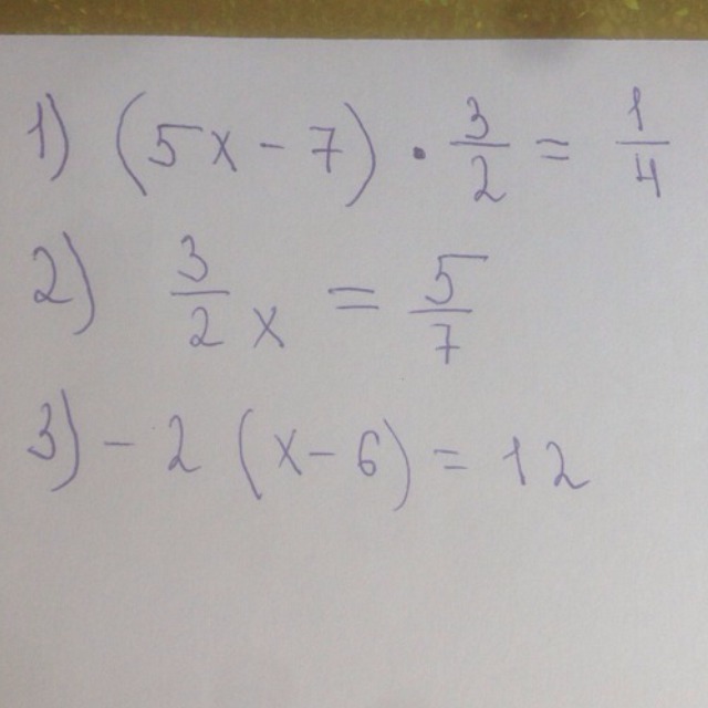
1. (5х - 7) * 3/2 = 1/4;
5х - 7 = 1/4 : 3/2;
5х - 7 = 1/4 * 2/3;
5х - 7 = 1/6;
5х = 1/6 + 7;
5х = 7 1/6;
х = 7 1/6 : 5;
х = 43/6 * 1/5;
х = 43/30;
х = 1 13/30.
2. 3/2 х = 5/7;
х = 5/7 : 3/2;
х = 5/7 * 2/3;
х = 10/21.
3. - 2 (х - 6) = 12;
- 2х + 12 = 12;
- 2х = 12 - 12;
- 2х = 0;
х = 0.
5х - 7 = 1/4 : 3/2;
5х - 7 = 1/4 * 2/3;
5х - 7 = 1/6;
5х = 1/6 + 7;
5х = 7 1/6;
х = 7 1/6 : 5;
х = 43/6 * 1/5;
х = 43/30;
х = 1 13/30.
2. 3/2 х = 5/7;
х = 5/7 : 3/2;
х = 5/7 * 2/3;
х = 10/21.
3. - 2 (х - 6) = 12;
- 2х + 12 = 12;
- 2х = 12 - 12;
- 2х = 0;
х = 0.
Вас заинтересует
2 года назад
2 года назад
8 лет назад
8 лет назад
10 лет назад
10 лет назад