Ответы
Ответ дал:
0
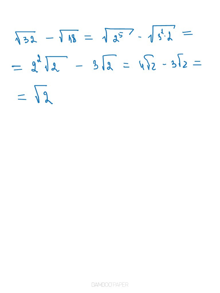
Разложим числа под корнями
√16*2-√9*2
Выносим из под корня извлекаемые числа
4√2-3√2
Упрощаем
√2
√16*2-√9*2
Выносим из под корня извлекаемые числа
4√2-3√2
Упрощаем
√2
Ответ дал:
0
Решение данного задания
Приложения:

Вас заинтересует
2 года назад
2 года назад
7 лет назад
7 лет назад
9 лет назад
9 лет назад
10 лет назад