Ответы
Ответ дал:
0
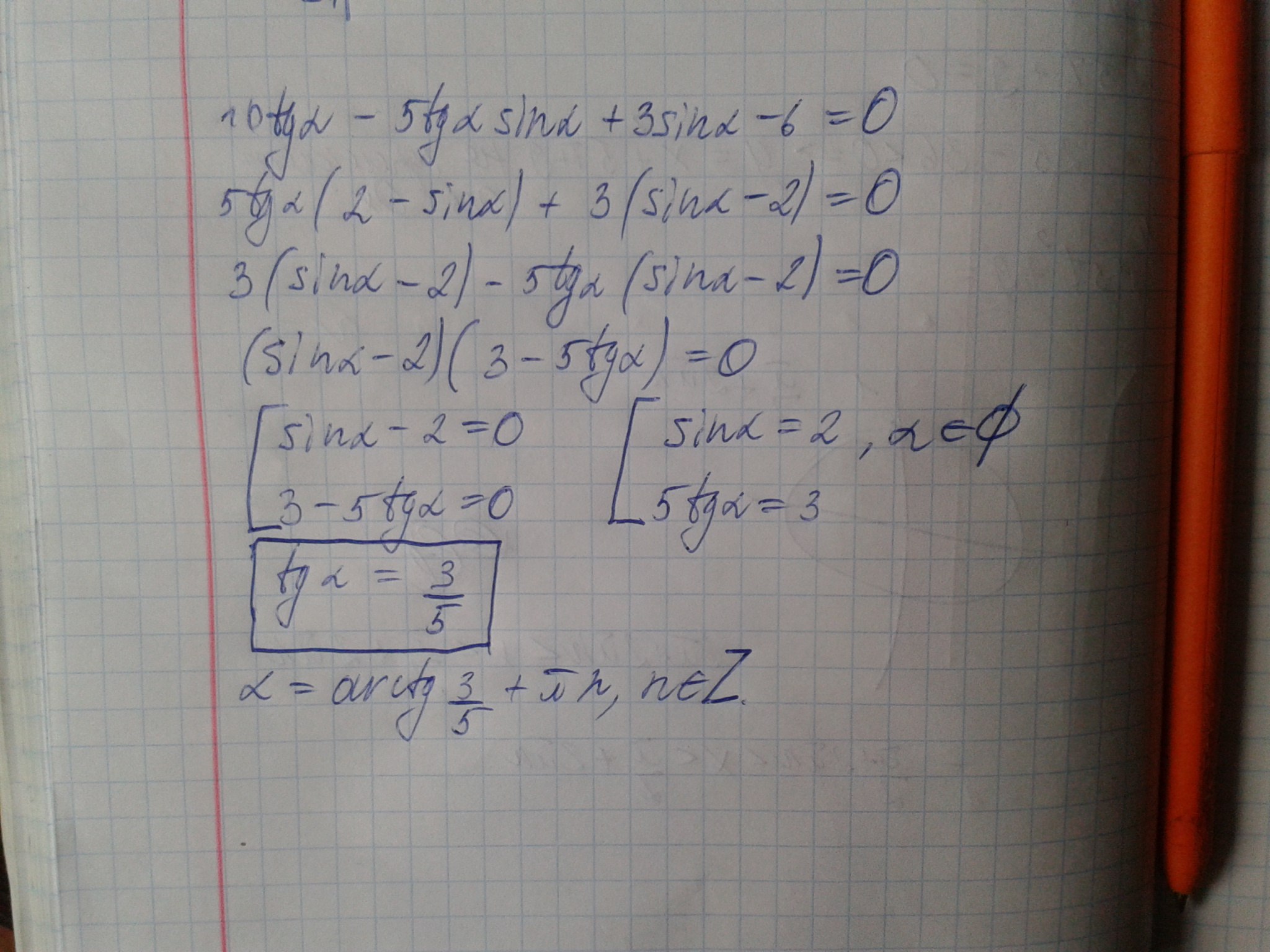
5tgα(2-sinα)+3(sinα-2)=0
5tgα(2-sinα)-3(2-sinα)=0
(2-sinα)(5tgα-3)=0
2-sinα=0 5tgα-3=0
5tgα=3
tgα=3 : 5
tgα=0.6
Ответ: 0,6.
5tgα(2-sinα)-3(2-sinα)=0
(2-sinα)(5tgα-3)=0
2-sinα=0 5tgα-3=0
5tgα=3
tgα=3 : 5
tgα=0.6
Ответ: 0,6.
Ответ дал:
0
спасибо!!!!!!!
Ответ дал:
0
Воооооооооооооооооооооооооот
Приложения:

Ответ дал:
0
спасибо!!!
Вас заинтересует
2 года назад
7 лет назад
7 лет назад
9 лет назад
9 лет назад
10 лет назад
10 лет назад