• Предмет: Алгебра
  • Автор: Milinka09
  • Вопрос задан 10 лет назад

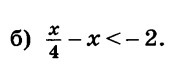
Решите неравенство,алгебра 8 класс

Приложения:

Ответы

Ответ дал: Juliaa21
0
 frac{x}{4} -x  textless  -2 |*4 \ \  x-4x   textless  -8 \ \  -3x  textless  -8 |:(-3) \ \ x textgreater   2 frac{2}{3}  \  \
Ответ: (2 2/3 ; +∞)
Вас заинтересует