Ответы
Ответ дал:
0
Уравнение не имеет корней.
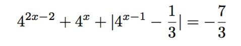
4²ˣ⁻² > 0 при любом х
4ˣ>0 при любом х
|4ˣ⁻¹-(1/3)|≥0
Левая часть уравнения принимает положительные значения и не равняется (-7/3) ни при каком х.
О т в е т. уравнение не имеет корней.
4²ˣ⁻² > 0 при любом х
4ˣ>0 при любом х
|4ˣ⁻¹-(1/3)|≥0
Левая часть уравнения принимает положительные значения и не равняется (-7/3) ни при каком х.
О т в е т. уравнение не имеет корней.
Вас заинтересует
2 года назад
7 лет назад
7 лет назад
10 лет назад
10 лет назад
10 лет назад