Ответы
Ответ дал:
0
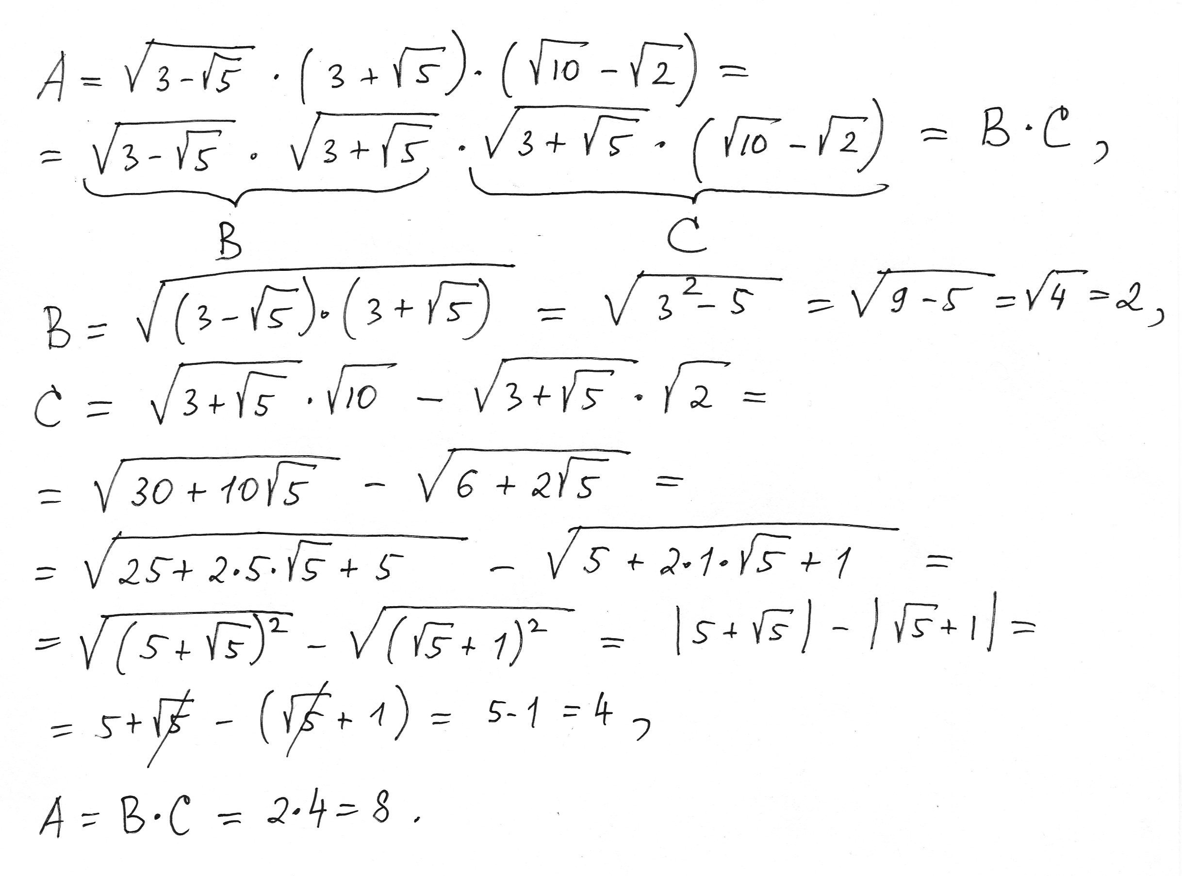
Я решил на листочке, прикрепил ниже.
Приложения:

Ответ дал:
0
Спасибо большое! Я вроде неглупый, но после 2х месяцев каникул из головы вылетела даже таблица умножения;)
Вас заинтересует
2 года назад
2 года назад
7 лет назад
7 лет назад
9 лет назад