найдите сумму значений t или значение t если оно единственное, при котором числа -4; t -2; 2t-9 являются тремя последовательными членами знакочередующейся геометрической прогрессии
Ответы
Ответ дал:
0
пусть -4 = b
тогда t-2 = -b*q
2t-9 = b*q²
подставляем вместо b число -4
t-2 =4q
2t-9=-4q²
умножаем первое на -2 и складываем ос вторым
5=8q+4q²
4q²+8q-5=0
q1 = -2.5
q2=0.5
t-2 =4q
t= 4q+2
подставляем q1
t=-8
подставляем q2
t=4
сумма t равна -4
тогда t-2 = -b*q
2t-9 = b*q²
подставляем вместо b число -4
t-2 =4q
2t-9=-4q²
умножаем первое на -2 и складываем ос вторым
5=8q+4q²
4q²+8q-5=0
q1 = -2.5
q2=0.5
t-2 =4q
t= 4q+2
подставляем q1
t=-8
подставляем q2
t=4
сумма t равна -4
Ответ дал:
0
блин
Ответ дал:
0
не комментируется
Ответ дал:
0
там вначале нужно исправить, что q<0
Ответ дал:
0
корень -8 - посторонний, так как прогрессия знакочередующаяся и нам известно, что первый член равен -4, следовательно, член t-2 должен быть положительным, а это возможно только при t = 4 (-8+2 = -6 - нам не подходит)
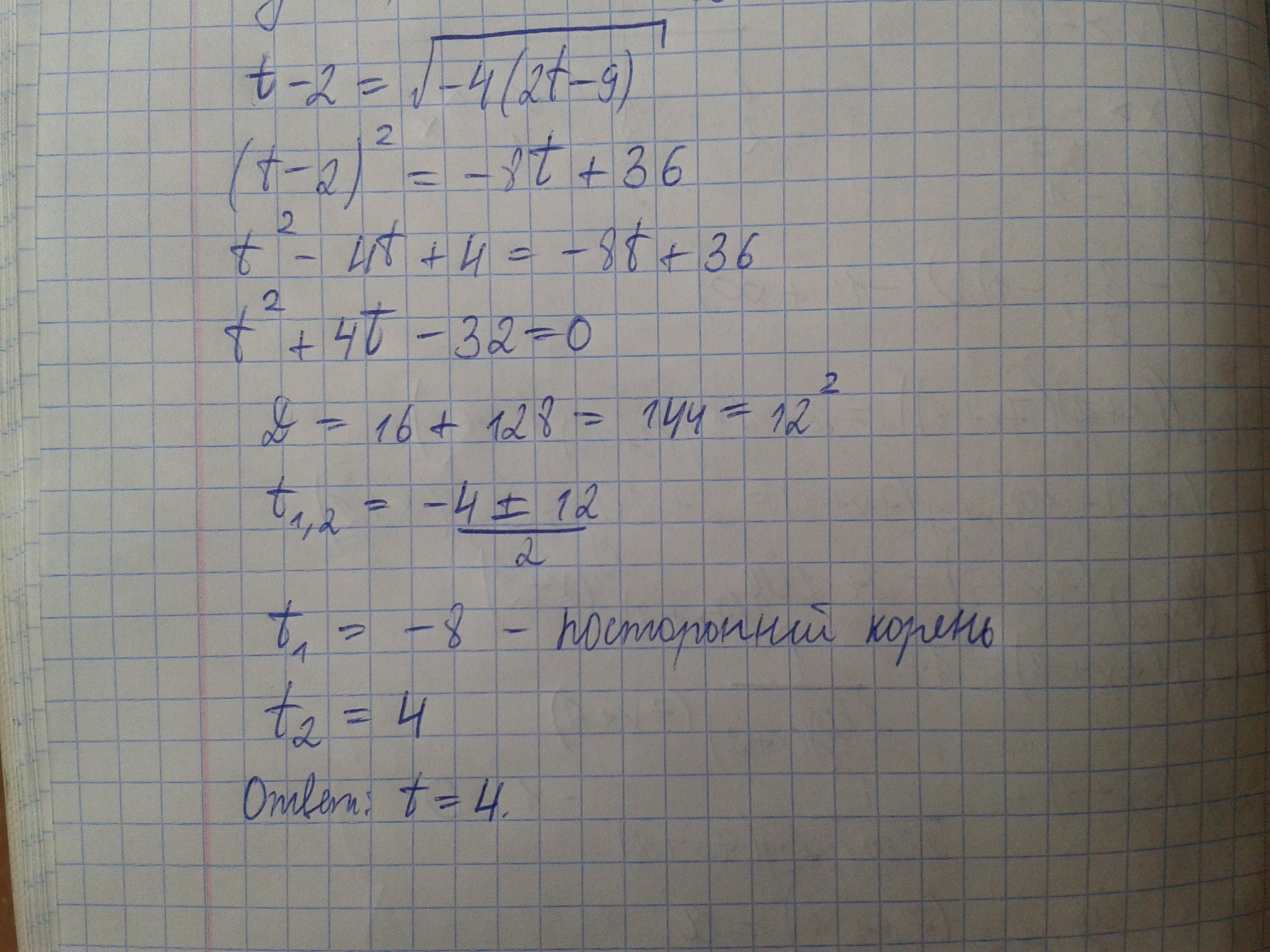
Раз члены идут подряд, то для них верно свойство :
, т.е
Раз члены идут подряд, то для них верно свойство :
Приложения:

Вас заинтересует
2 года назад
2 года назад
7 лет назад
9 лет назад
9 лет назад
10 лет назад