Помогите плиз!!
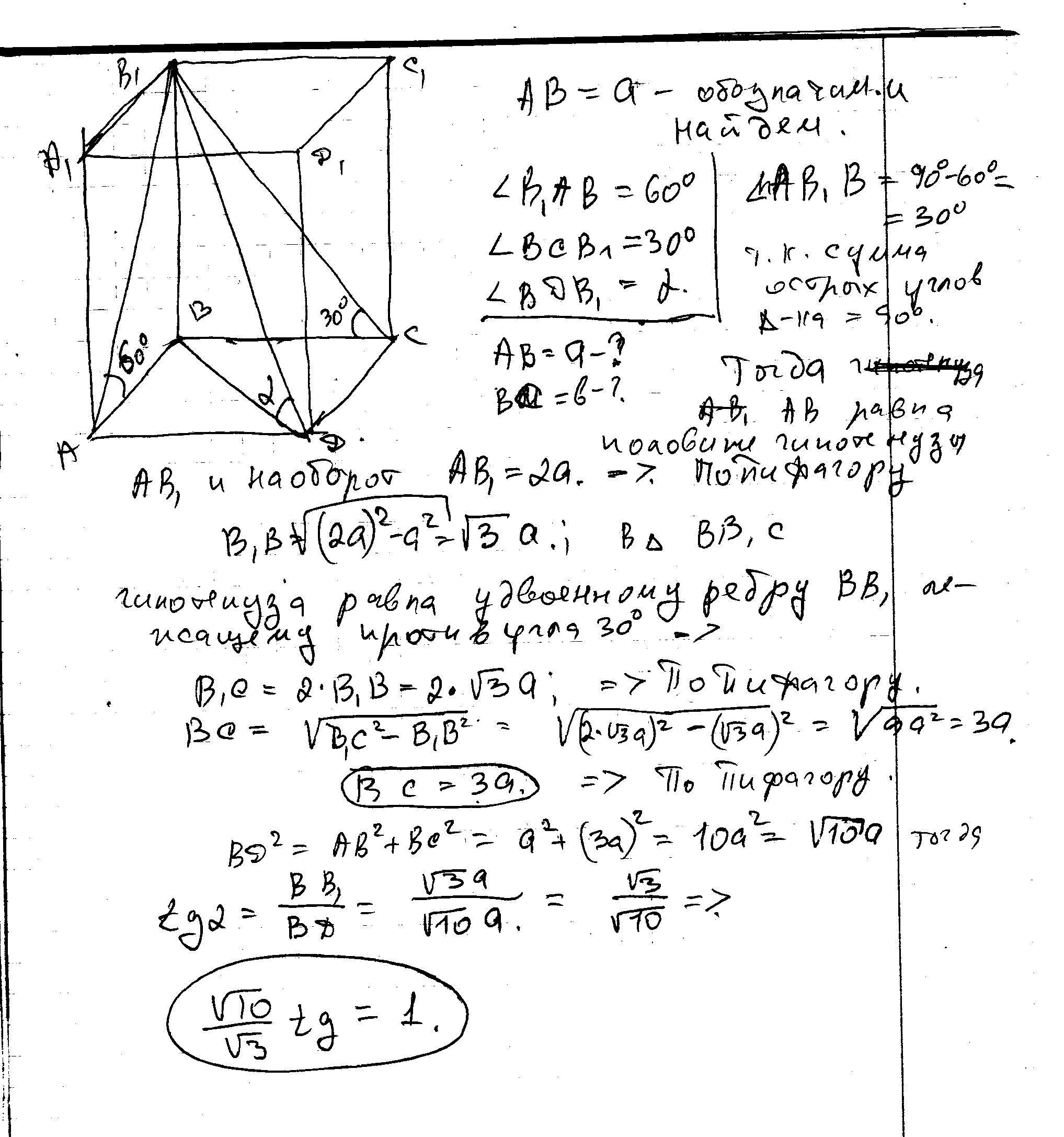
1.Диагонали боковых граней прямоугольного параллелепипеда составляют с плоскостью основания угол 30° и 60°. Вычислить величину √10/3 tg α( тангенс альфа не под корнем) , где α-угол между диагональю параллелепипеда и плоскостью основания
2.Найти объём правильной четырёхугольной призмы, если её диагональ образует с плоскостью боковой грани угол в 30°, а сторона основания равна√2
3.В кубе АВСДА1В1С1Д1 через середину рёбер А1В1; ВВ1; С1Д1 проведено сечение. Найти объём куба, если площадь этого сечения равна 8√2
Ответы
Ответ дал:
0
решение в скане............
Приложения:
Вас заинтересует
3 года назад
3 года назад
8 лет назад
8 лет назад
10 лет назад
10 лет назад
10 лет назад
10 лет назад