Ответы
Ответ дал:
0
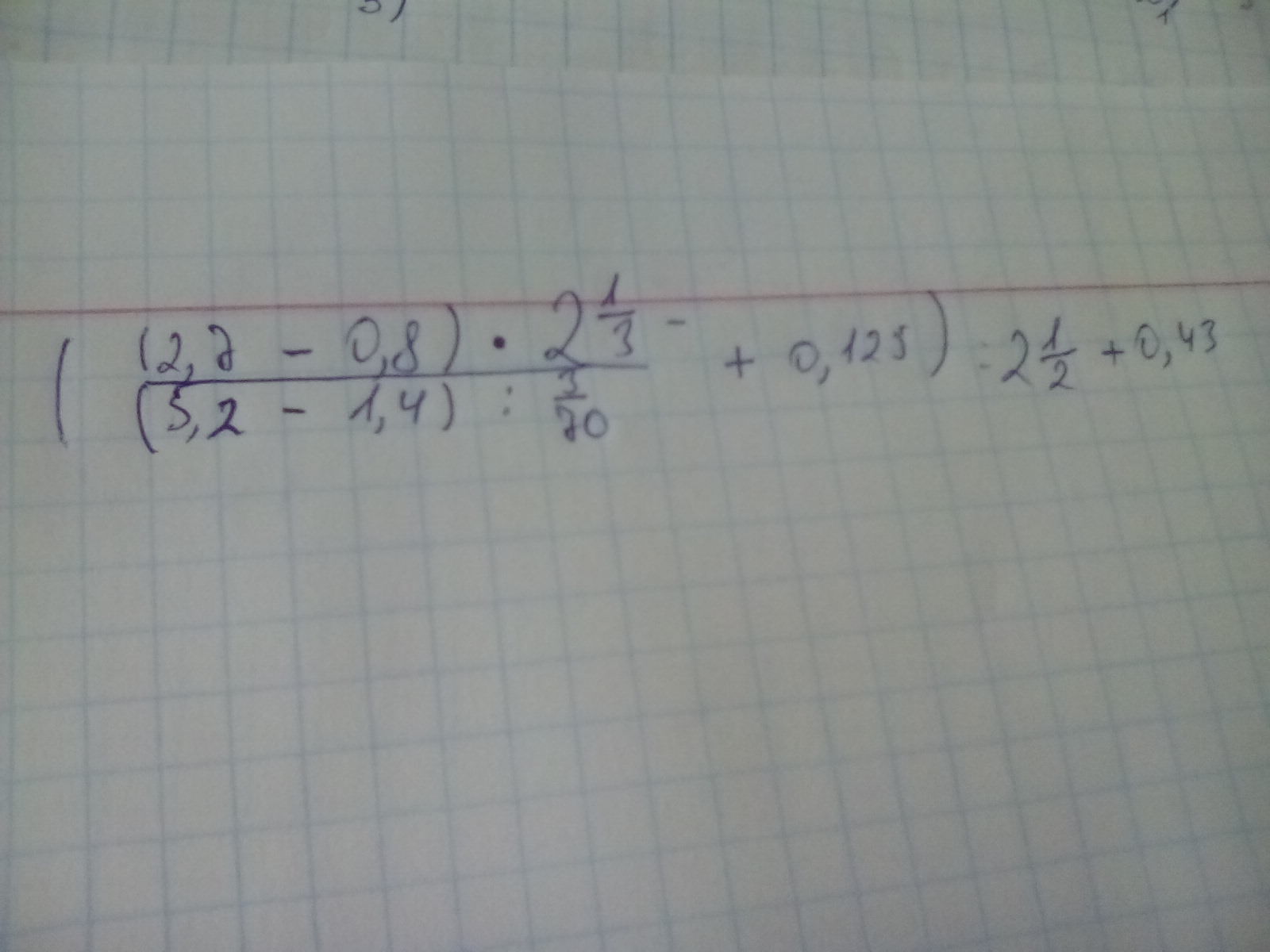
2.7-0.8=1.9;
5.2-1.4=3.8;
2 1/3=7/3;
получилось:
1.9*(7/3)/(3.8* 70/3)=1.9/38=0.05;
считаем дальше:
(0.05+0.125)=0.175;
0.175/(2 1/2)=0.175/(5/2)=0.175*(2/5)=0.175*(4/10)=0.175*0.4=0.07;
0.07+0.43=0.5
5.2-1.4=3.8;
2 1/3=7/3;
получилось:
1.9*(7/3)/(3.8* 70/3)=1.9/38=0.05;
считаем дальше:
(0.05+0.125)=0.175;
0.175/(2 1/2)=0.175/(5/2)=0.175*(2/5)=0.175*(4/10)=0.175*0.4=0.07;
0.07+0.43=0.5
Ответ дал:
0
Двадцять один третіх
Ответ дал:
0
Ты уверен, что там 21/3. Ведь 21/3=7. Решение тогда получится очень некрасивое.
Ответ дал:
0
(21/3):(70/3)=(21/3)*(3/70)=21/70=3/10=0.3;
Ответ дал:
0
(1.9/3.8)*0.3=0.15; 0.15+0.125=0.275; 0.275*0.4=0.11; 0.11+0.43=0.54; вот, говорю-же - некрасиво. Было лучше.
Вас заинтересует
3 года назад
3 года назад
8 лет назад
8 лет назад
10 лет назад