Решите : 1)32,4:(7,06икс-101,2)×1,8=1,458!
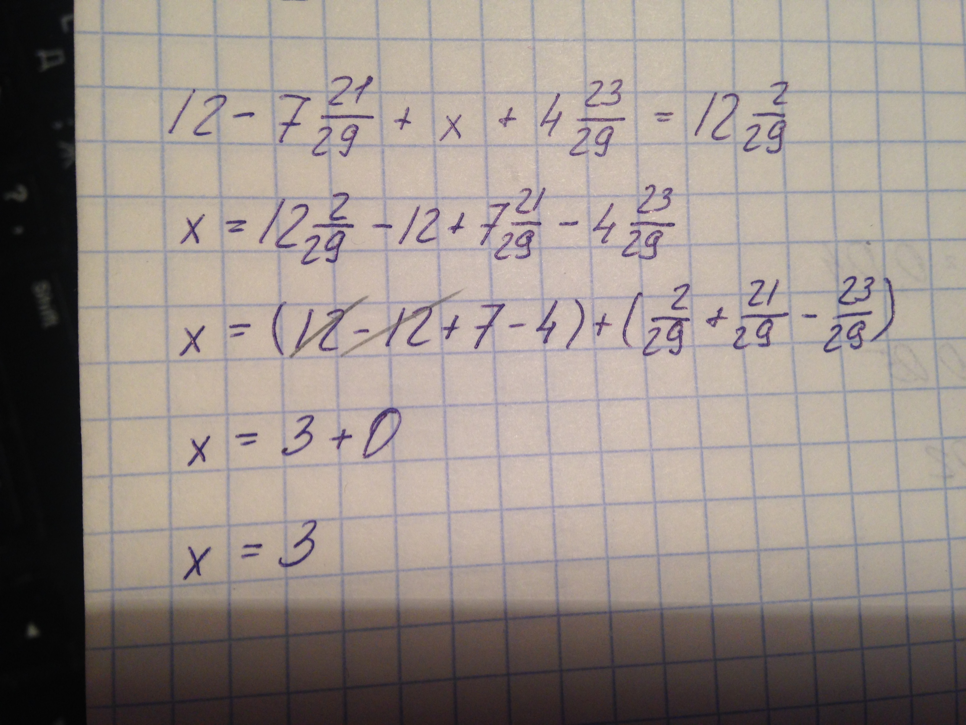
2)12-7 21/29+ ×+4 23/29=12 2/29
3)(0,95×-1,82):1,7=3,4
4)24,8:(6,08×-20,8)×2,7=1,674.
×-икс
                        
                            
                            
                    Ответы
                                            Ответ дал: 
                                                                                    
                                        
                                            
                                                
                                                
                                                
                                                    0
                                                
                                            
                                        
                                    
                                        Все    решения    на    фото...................
                                    
                                                Приложения:
                    
                            
                            
                            
                            Вас заинтересует
                
                        2 года назад
                    
                
                        2 года назад
                    
                
                        7 лет назад
                    
                
                        10 лет назад