• Предмет: Математика
  • Автор: ViktorMGN
  • Вопрос задан 10 лет назад

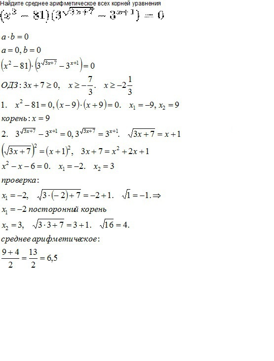
Найдите среднее арифметическое всех корней уравнения  ( x^{2} -81)(3^{sqrt{3x+7}}-3^{x+1})=0

Ответы

Ответ дал: kirichekov
0
решение во вложении-------------------------
Приложения:
Вас заинтересует