Отрезок AA1-биссектриса треугольника ABC, а точка O-центр окружности,касающейся стороны BC и продолжений сторон AB и AC.Найдите периметр треугольника
ABC,если известно, что BC=14, AA1:AO=4:9
Ответы
Ответ дал:
0
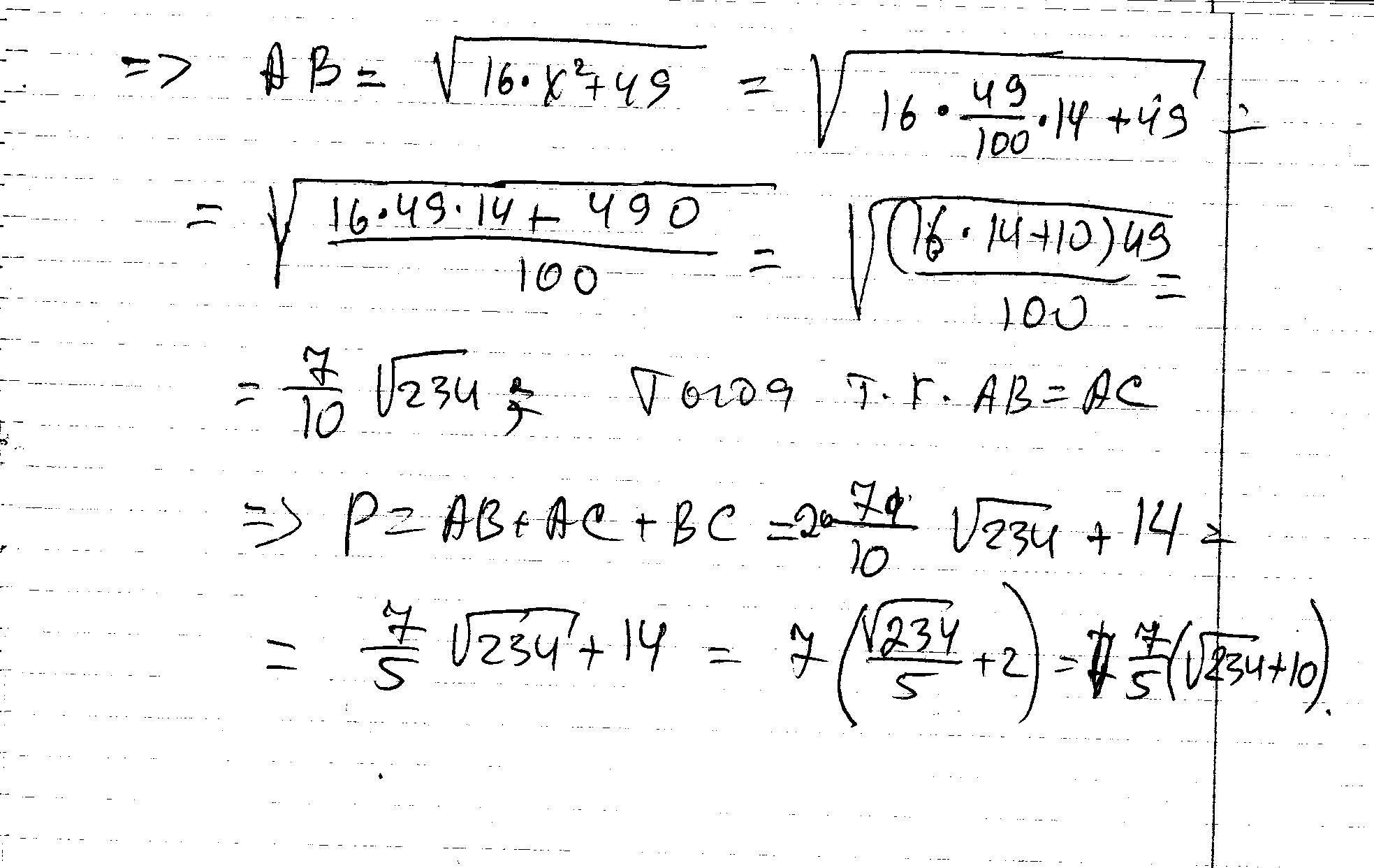
решение в скане............ Что то числа не нравятся, боюсь ошибка в расчетах
Приложения:


Ответ дал:
0
ответит 39.2
Ответ дал:
0
Нашел. Во втором листе, под корнем в числителе должно быть (16*14+100), я пропустил ноль. тогда Из-под корня выходит (7*18)/100=12,6. То есть АВ=АС=12,6. Тогда периметр = 12,6+12,6+14=39,2. Прошу прощения, что сразу не нашел.
Вас заинтересует
2 года назад
2 года назад
7 лет назад
9 лет назад
10 лет назад