• Предмет: Физика
  • Автор: alexrf2014
  • Вопрос задан 9 лет назад

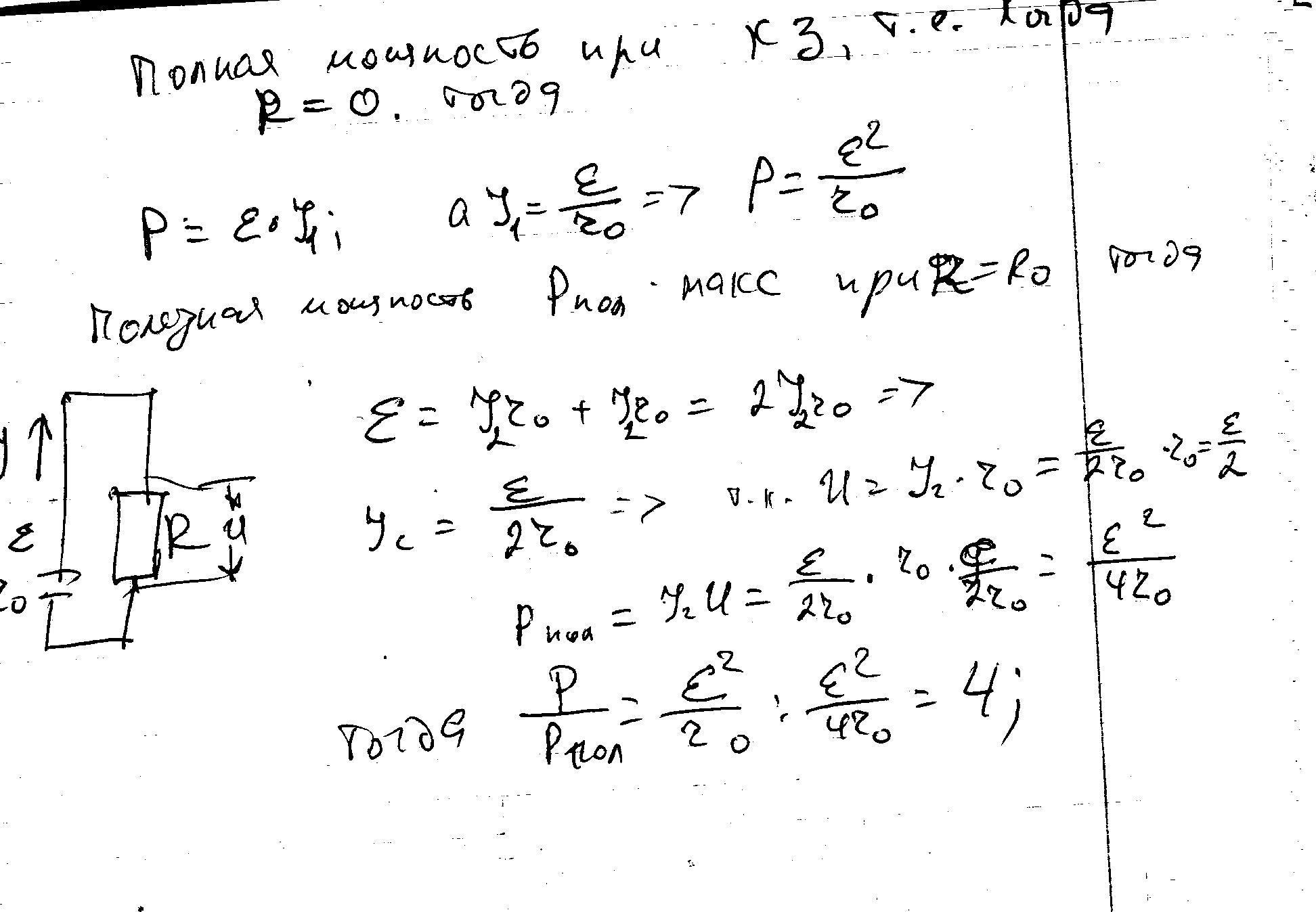
Во сколько раз максимальная полная мощность источника тока больше (или меньше) максимальной полезной мощности, выделяемой на сопротивлении?

Ответы

Ответ дал: ужнеужели
0
Почему в 4? Но не спросишь не узнаешь. Разобрался, спасибо.
Приложения:
Ответ дал: IUV
0
не обязательно максимальная полная мощность должна достигаться одновременно с максимальной полезной мощностью
Ответ дал: IUV
0
по крайней мере в условии такой связи нет
Ответ дал: IUV
0
максимальная полезная достигается при R=r, а максимальная полная при R=0
Ответ дал: ужнеужели
0
Ага, а уже не добавишь. там соотношение ro/R/ Чем больше, тем больше n
Ответ дал: ужнеужели
0
Ну да, а кпд при R=бесконечности.
Вас заинтересует