Ответы
Ответ дал:
0
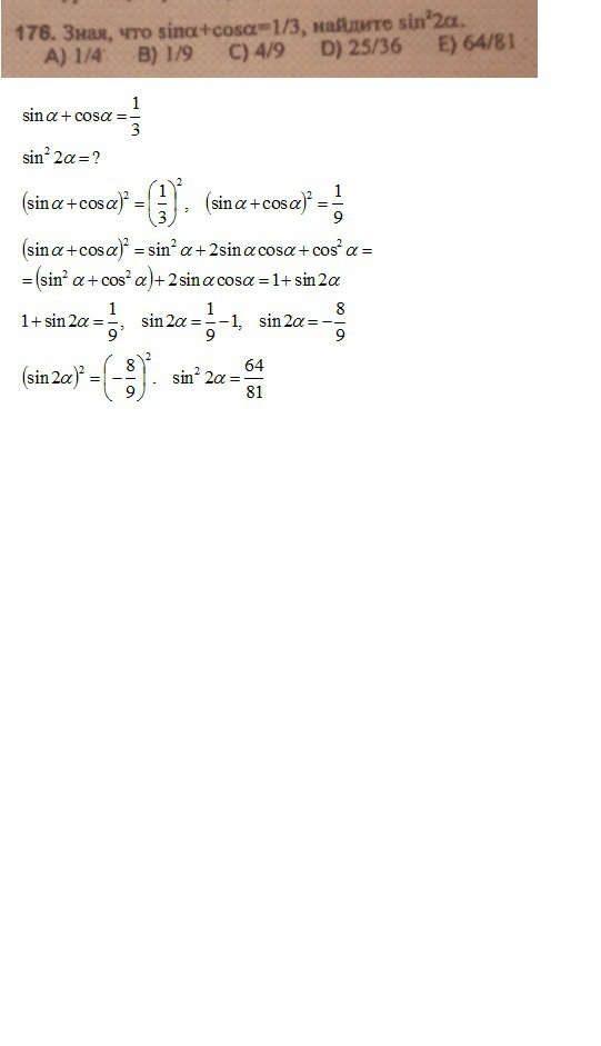
Возводим в квадрат выражение sin a+cos a=1/3=> (sin a+cos a)^2=1/9;
sin^2 a+2*sin a*cos a+cos^2 a=1/9;
1+2*sin a*cos a=1/9;
2*sin a*cos a=1/9-1=1/9-9/9=(-8/9).
Теперь пишем:sin^2 2a=(2*sin a*cos a)^2=(-8/9)^2=64/81.
Ответ:Е
sin^2 a+2*sin a*cos a+cos^2 a=1/9;
1+2*sin a*cos a=1/9;
2*sin a*cos a=1/9-1=1/9-9/9=(-8/9).
Теперь пишем:sin^2 2a=(2*sin a*cos a)^2=(-8/9)^2=64/81.
Ответ:Е
Ответ дал:
0
решение во вложении----------
Приложения:
Ответ дал:
0
помните пожалуйста и с 178 задание
Ответ дал:
0
помогите *
Вас заинтересует
2 года назад
2 года назад
7 лет назад
7 лет назад
10 лет назад
10 лет назад
10 лет назад