• Предмет: Геометрия
  • Автор: hirvihirvi
  • Вопрос задан 10 лет назад

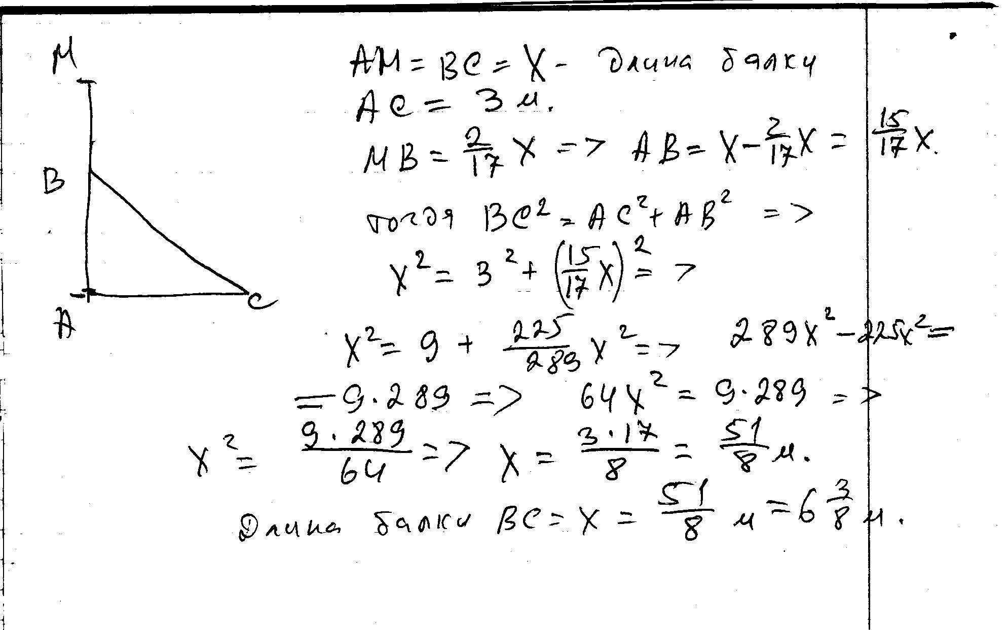
Балка стояла вертикально вплотную к стене. Когда её нижний конец отодвинули от стены на 3 метра, верхний опустился на 2/17 длины балки. Найдите длину балки в метрах.

Ответы

Ответ дал: ужнеужели
0
решение в скане..............
Приложения:
Вас заинтересует