• Предмет: Алгебра
  • Автор: анна99992
  • Вопрос задан 10 лет назад

спасибо)))))только в)))))))))))

Приложения:

Ответы

Ответ дал: infor5
0
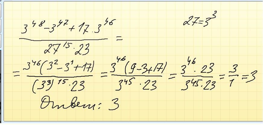
сначала вынесем за скобки в числителе число 3 в наименьшей степени (то есть 46-ой)
Приложения:
Вас заинтересует