Ответы
Ответ дал:
0
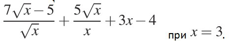
как на рисунке вроде правильно там 21 из подкорня 3 если не видно
Приложения:

Ответ дал:
0
Спасибо)
Ответ дал:
0
Всегда пожалуйста
Вас заинтересует
2 года назад
2 года назад
7 лет назад
9 лет назад
9 лет назад
10 лет назад