• Предмет: Алгебра
  • Автор: SatanLovesSchool
  • Вопрос задан 10 лет назад

Пожалуйста, помогите решить, срочно

Приложения:

Ответы

Ответ дал: infor5
0
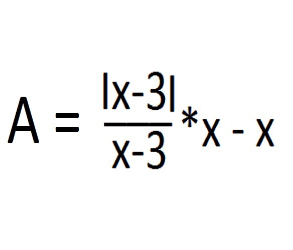
если х-3≥0 или х≥3, то А=0
если х-3<0 или х<3, то А= - 2
Вас заинтересует