Ответы
Ответ дал:
0
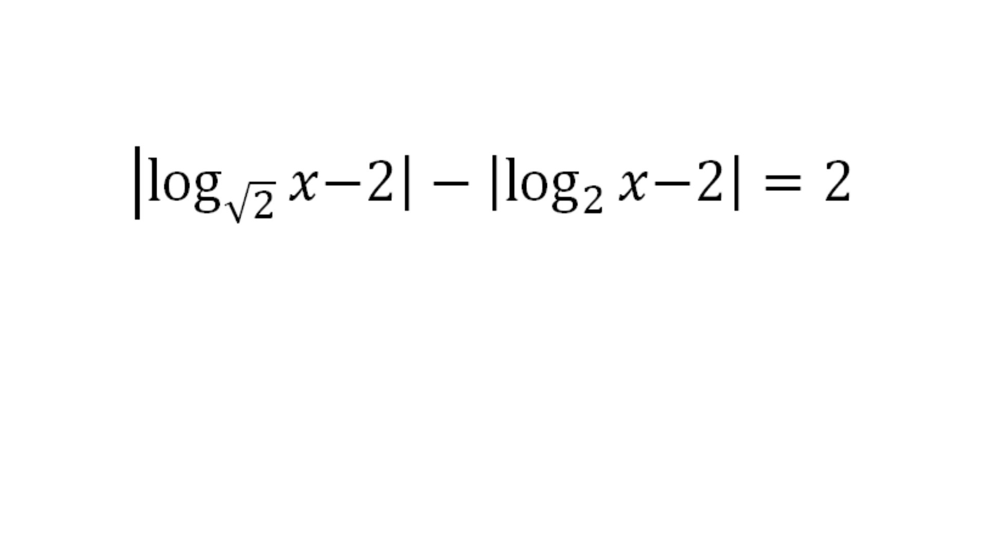
log(√2)x=2log(2)x
|2log(2)x-2|-|log(2)-2|=2
1)0<x<2
2-2log(2)x+log(2)x-2=2
-log(2)x=2
log(2)x=-2
x=1/4
2)2≤x≤4
2log(2)x-2+log(20x-2=2
3log(2)x=6
log(2)x=2
x=4
3)x>4
2log(2)x-2-log(2)x+2=2
log(2)x=2
x=4
не удов усл
Ответ х=1/4,х=4
|2log(2)x-2|-|log(2)-2|=2
1)0<x<2
2-2log(2)x+log(2)x-2=2
-log(2)x=2
log(2)x=-2
x=1/4
2)2≤x≤4
2log(2)x-2+log(20x-2=2
3log(2)x=6
log(2)x=2
x=4
3)x>4
2log(2)x-2-log(2)x+2=2
log(2)x=2
x=4
не удов усл
Ответ х=1/4,х=4
Вас заинтересует
3 года назад
3 года назад
8 лет назад
8 лет назад
10 лет назад
10 лет назад
10 лет назад