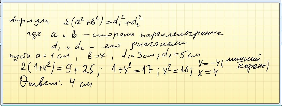
Сторона параллелограмма равна 1 см,а его диагонали равны -3 см и 5 см. Найти неизвестную сторону параллелограмма.
Ответы
Ответ дал:
0
применяем формулу для связи между диагоналями параллелограмма и его сторонами...
Приложения:

Вас заинтересует
2 года назад
7 лет назад
7 лет назад
9 лет назад
9 лет назад
10 лет назад