Ответы
Ответ дал:
0
7)угол 2 не равен углу 4 потому что 2-тупой, 4-прямой
8) по рисунку видно, что угол DOE прямой=90
9)180-(37*2)=106
10)(180-108)/3=36
8) по рисунку видно, что угол DOE прямой=90
9)180-(37*2)=106
10)(180-108)/3=36
Ответ дал:
0
7. На первой картинке два смежных угла (их сумма = 180 градусам)
На второй картинке уже не смежные углы, так как у них нет общей стороны, как у смежных. Поэтому, их сумма не равна 180 градусам. Следовательно если угол 1 = углу 3, то угол 2 не может быть равен углу 4.
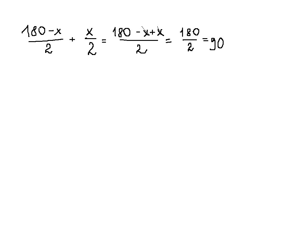
8. Опять смежные углы. Как я и сказала - это углы с общей стороной, но и вершиной, и их сумма = 180 градусам.
Пусть угол СОВ = х, тогда угол СОА = 180 - х (так как смежные), тогда:
СОD = DOA (по условию) = (180 - х) / 2
COE = EOB = x/2
угол DOE - это угол COD + угол COE, составим этот пример. Смотри вложение, там пример.
Ответ: 90 градусов.
9. Смежные углы. Сумма = 180 градусов.
Угол CAD = DAE = 37 градусов. Следовательно угол CAE = 37 * 2 =74 градуса. Тогда угол BAC = 180 - 74 = 106 градусов.
Ответ: 106 градусов.
10. Смежные углы. Сумма = 180 градусов.
Пусть угол BOC = x, тогда угол COD тоже будет равен х, составим пример:
108 + х + х = 180 (так как смежные)
108 + 2х = 180
2х = 180 - 108
2х = 72
х = 36
Ответ: 36 градусов.
На второй картинке уже не смежные углы, так как у них нет общей стороны, как у смежных. Поэтому, их сумма не равна 180 градусам. Следовательно если угол 1 = углу 3, то угол 2 не может быть равен углу 4.
8. Опять смежные углы. Как я и сказала - это углы с общей стороной, но и вершиной, и их сумма = 180 градусам.
Пусть угол СОВ = х, тогда угол СОА = 180 - х (так как смежные), тогда:
СОD = DOA (по условию) = (180 - х) / 2
COE = EOB = x/2
угол DOE - это угол COD + угол COE, составим этот пример. Смотри вложение, там пример.
Ответ: 90 градусов.
9. Смежные углы. Сумма = 180 градусов.
Угол CAD = DAE = 37 градусов. Следовательно угол CAE = 37 * 2 =74 градуса. Тогда угол BAC = 180 - 74 = 106 градусов.
Ответ: 106 градусов.
10. Смежные углы. Сумма = 180 градусов.
Пусть угол BOC = x, тогда угол COD тоже будет равен х, составим пример:
108 + х + х = 180 (так как смежные)
108 + 2х = 180
2х = 180 - 108
2х = 72
х = 36
Ответ: 36 градусов.
Приложения:

Вас заинтересует
2 года назад
2 года назад
7 лет назад
7 лет назад
9 лет назад
10 лет назад