разложите на множители.Помогите пожалуйста :)
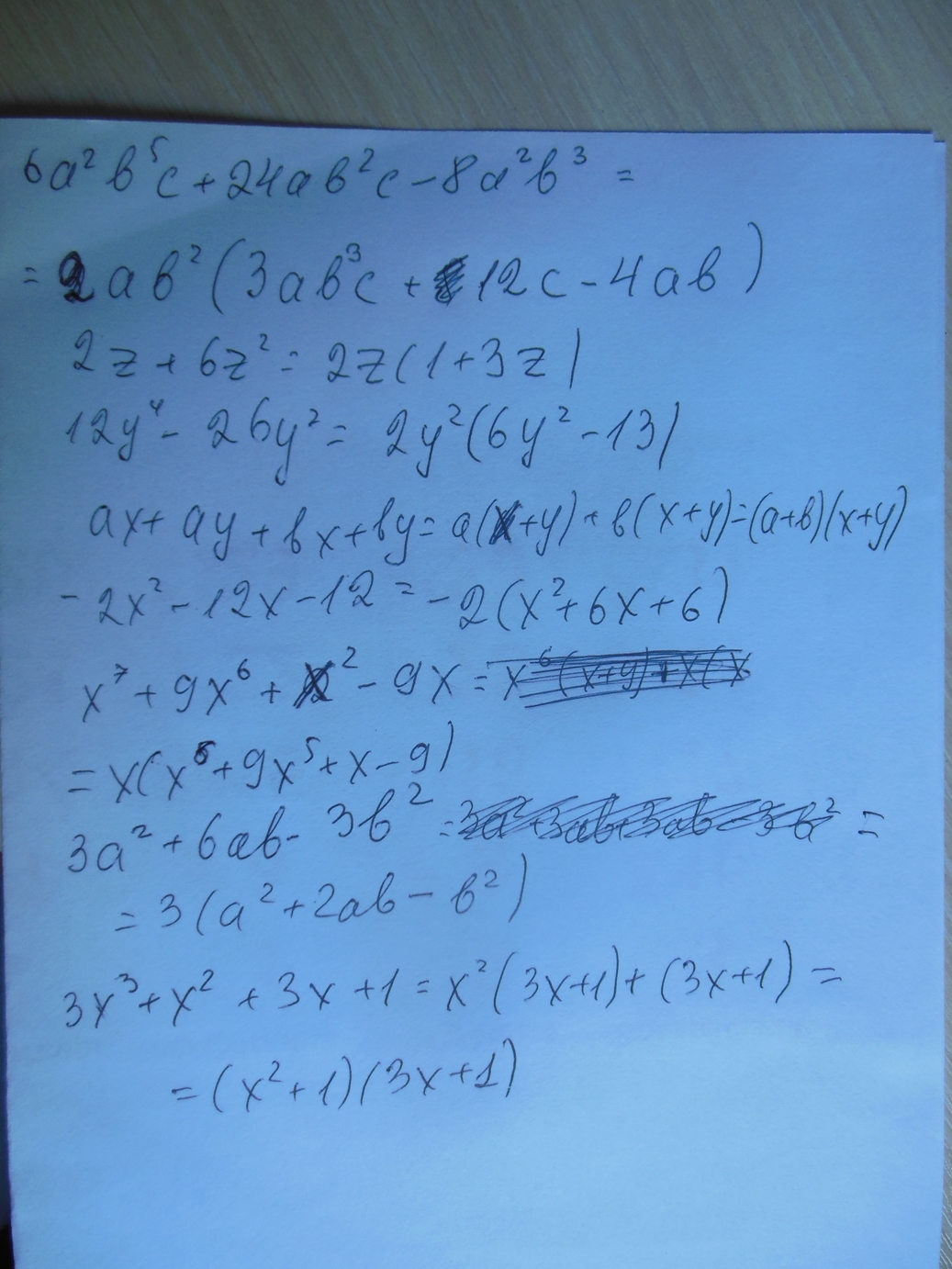
1)6a^2b^5c+24ab^2c-8a^2b^3
2)2z+6z^2
3)12y^4-26y^2
4)ax+ay+bx+by
5)x^2+xy+ax+ay
6)-2x^2-12x-12
7)x^7+9x^6+x^2-9x
8)3a^2+6ab-3b^2
9)3x^3+x^2+3x+1
Ответы
Ответ дал:
0
если бы в 7 и 8 были другие знаки, раскрадывалось бы лучше
х²+ху+ах+ау=х(х+у)+а(х+у)=(х+у)(х+а)
этого примера у тебя не было
х²+ху+ах+ау=х(х+у)+а(х+у)=(х+у)(х+а)
этого примера у тебя не было
Приложения:
Ответ дал:
0
а где 9
Ответ дал:
0
x^2+xy+ax+ay
Ответ дал:
0
обнови страницу, добавил в ответ
Ответ дал:
0
он был пятым, случайно пропустил
Вас заинтересует
3 года назад
3 года назад
8 лет назад
10 лет назад
10 лет назад