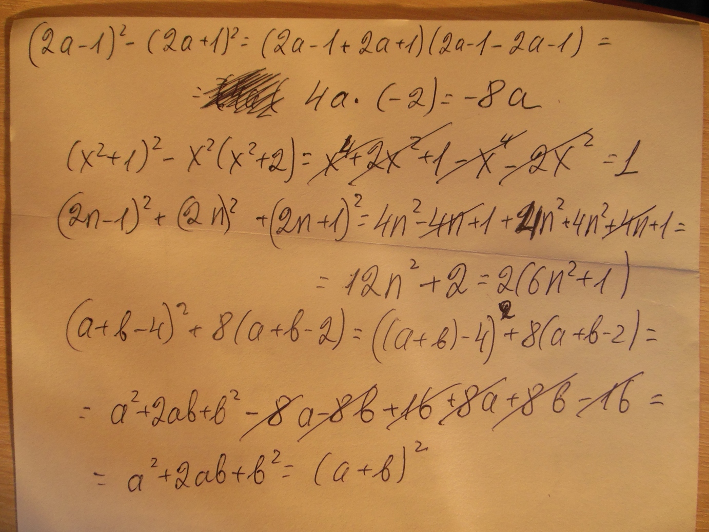
Упростите выражение:
а)(2а-1)²-(2а+1)²
б)(x²+1)²-x²(x²+2)
в)(2n-1)²+(2n)²+(2n+1)²
г)(a+b-4)²+8(a+b-2)
Ответы
Ответ дал:
0
!!!!!!!!!!!!!!!!!!!!!!!
Приложения:

Вас заинтересует
2 года назад
7 лет назад
9 лет назад
9 лет назад