• Предмет: Алгебра
  • Автор: GerichmMine
  • Вопрос задан 10 лет назад

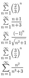
Указать ряды, для которых не выполнено необходимое условие сходимости

Приложения:

Ответы

Ответ дал: Stupidman2001
0
Чувак! Лето на дворе! Не парься)

Вас заинтересует