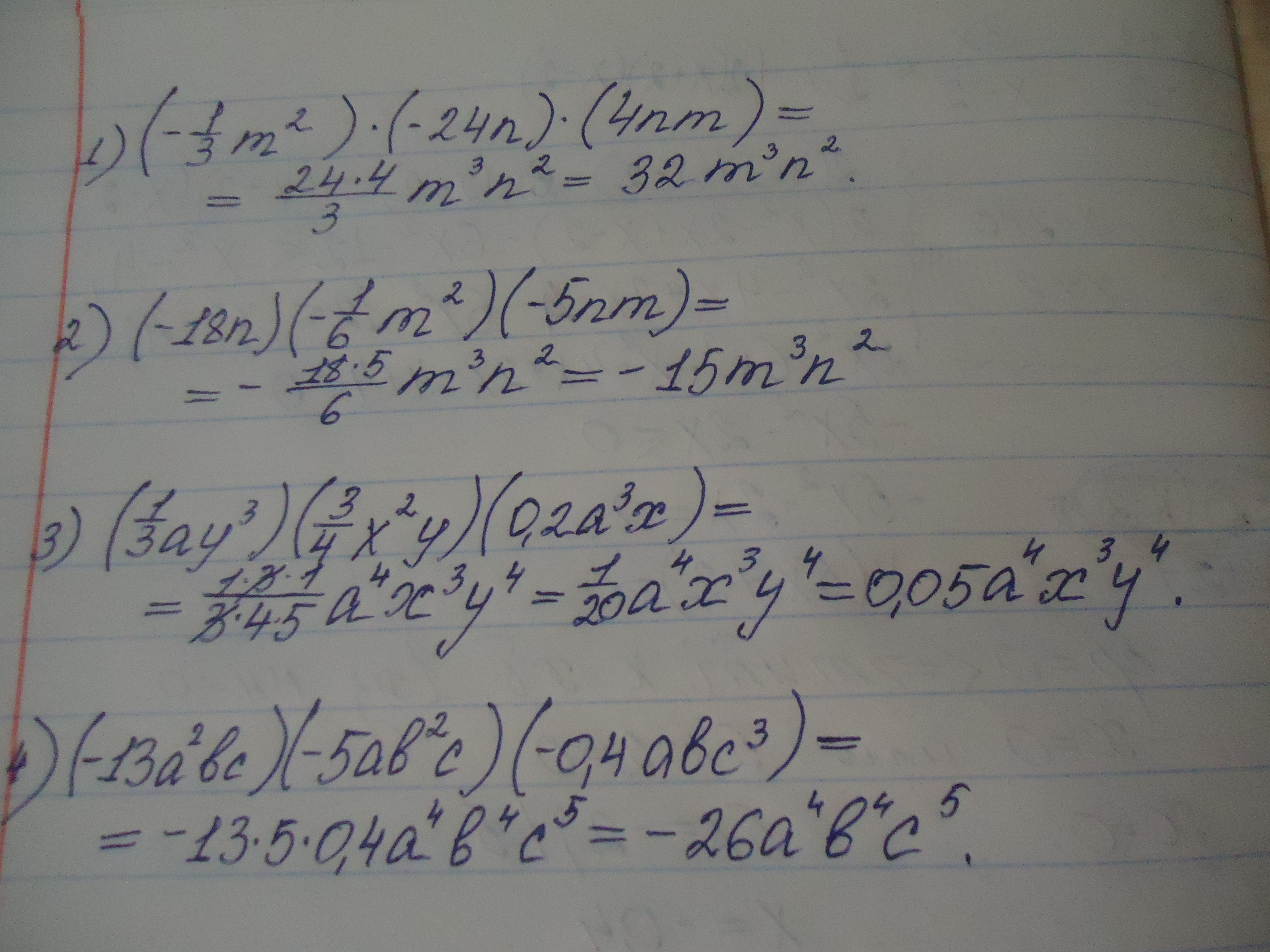
Выполнить умножение одночленов
1) (-1/3m^2) (-24n)(4nm)
2) (-18n)(-1/6m^2)(-5nm)
3)(1/3ay^3)(3/4x^2y)(0,2a^3x)
4)(-13a^2bc)(-5ab^2c)(-0,4abc^3)
*^-степень
Ответы
Ответ дал:
0
......................
Приложения:
Вас заинтересует
2 года назад
7 лет назад
7 лет назад
10 лет назад
10 лет назад
10 лет назад
10 лет назад