Ответы
Ответ дал:
0
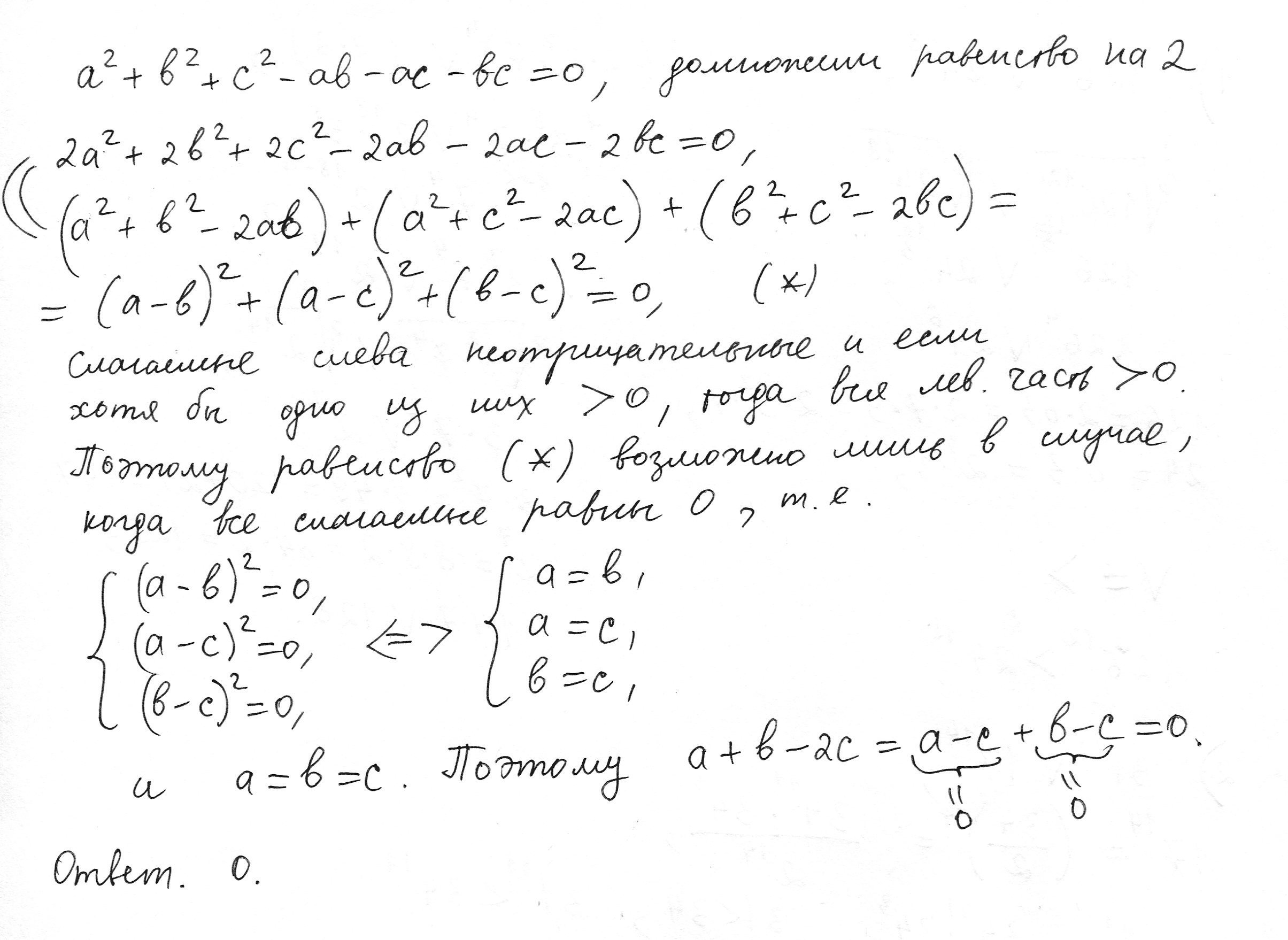
Помощь запоздала сильно, но, надеюсь, мое решение будет полезно тем, кто в поисках решения этой задачи попадет на эту страничку.
По-моему знак неравенства должен был быть, а не равно.
Любое число в квадрате равно положительному значению или нулю, поэтому всё выражение либо больше, либо равно нулю
По-моему знак неравенства должен был быть, а не равно.
Любое число в квадрате равно положительному значению или нулю, поэтому всё выражение либо больше, либо равно нулю
Ответ дал:
0
Сейчас решу. Прикрепил решение ниже на листочке.
Приложения:

Вас заинтересует
2 года назад
7 лет назад
9 лет назад
10 лет назад